ergo-log.com

Definition: "An ergogenic aid is any substance or phenomenon that enhances performance "

about us

/

contact

/

Ergo-Log

16.03.2024


12 percent more strength, 15 percent more endurance due to urolithin A | Human data

Supplementation with half to a whole gram of urolithin A per day not only increases muscle strength but also the endurance of healthy but not particularly fit middle-aged men and women. Does urolithin A have the same effect on well-trained athletes?


12 percent more strength, 15 percent more endurance due to urolithin A | Human data


Study
In 2022, researchers from Amazentis, Switzerland, published an article in Cell, describing an experiment in which 88 test subjects participated. The subjects were middle-aged, healthy, on the plump side and not at all sporty. The researchers divided them into 3 groups.

One group took a placebo every day for 4 months. The other group took capsules every day in the morning, before breakfast, that provided a total of 500 milligrams of urolithin A. Yet another group took 1,000 milligrams of urolithin A every day. Also before breakfast.

The product the researchers used is marketed as Mitopure. It's made by - you guessed it - Amazantis. That company, of course, financed the study.

Urolithin A
Urolithin A is a postbiotic. It is a substance that probiotics produce in the intestine - in the case of urolithins, by cutting ellagitannins into pieces. [Mol Nutr Food Res. 2012 May;56(5):784-96.] Ellagitannins are found in strawberries, raspberries, walnuts and pomegranate, among others. Below you see the structural formula of punicalagine, an ellagitannin in pomegranate.

Ellagic acid is an important building block of ellagitannin.


12 percent more strength, 15 percent more endurance due to urolithin A | Human data


Urolithins are extremely interesting substances. We have written about it before. Scientists have recently discovered that urolithin A in particular could delay aging.

Urolithin A stimulates mitophagy - the process in which cells clear defective mitochondria and replace them with functioning mitochondria. As a result, according to research by Amazentis, urolithin A extends the lifespan of nematodes by 45 percent and urolithin A increases the endurance and muscle strength of elderly mice by 65 percent and 9 percent respectively. [Mol Nutr Food Res. 2012 May;56(5):784-96.]

If the mice had been humans, they would have received 4 milligrams of urolithin A per kilo of body weight daily.

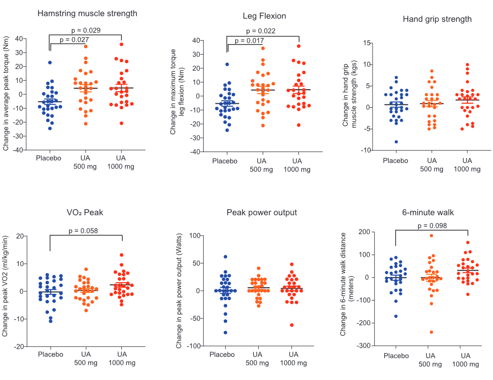
Results
Supplementation with both doses of urolithin A increased the muscle strength of the test subjects by approximately 12 percent. The highest dose of urolithin A increased maximum oxygen uptake by 10 percent and endurance - measured on a cyclometer - by 15 percent.

Click on the figures and table below for a larger version.


12 percent more strength, 15 percent more endurance due to urolithin A | Human data


12 percent more strength, 15 percent more endurance due to urolithin A | Human data


In the blood of the test subjects, the researchers were able to see that urolithin A enabled the mitochondria to convert fatty acids into energy more completely and smoothly. In addition, the substance reduced the concentration of inflammatory proteins such as interferon-gamma, interleukin-1-beta and tumor necrosis factor-alpha.

The researchers found no side effects.

Source:
Cell Rep Med. 2022 May 17;3(5):100633.

More:
The stimulant from oak that has no side effects 26.10.2021
The antioestrogenic effect of pomegranate 01.08.2014
Daily glass of pomegranate juice combats forgetfulness 25.10.2013

Archives:
Unusual Muscle Building Strategies
Endurance Supplements
Pomegranate


Pinoresinol and vanillic acid | Phytochemicals that mimic the anabolic effect of IGF-1 Citrus flavonoid hesperidin stops muscle breakdown due to aging Schisandra enhances the increase of muscle strength induced by exercise

Pinoresinol and vanillic acid | Phytochemicals that mimic the anabolic effect of IGF-1
According to a fascinating Korean in vitro-study, both compounds promote anabolism by interacting with the receptor for IGF-1.

Citrus flavonoid hesperidin stops muscle breakdown due to aging
A Korean animal study conducted with older lab mice.

Schisandra enhances the increase of muscle strength induced by exercise
A supplement containing an extract of the berries of Schisandra chinensis augments the increase of muscle strength by low-intensity exercise.