|
Definition: "An ergogenic aid is any substance or phenomenon that enhances performance "
|
|
||||||||
15.01.2025 |
|
|
This daily dose of vitamin D3 inhibits prostate cancer in its early stages | Pilot study
A high vitamin D level inhibits the division of prostate cells and improves the prospects of men with prostate cancer, we recently wrote. Does this also mean that vitamin D supplementation is beneficial for men with prostate cancer? According to a small American pilot study from 2012, this could well be the case.
Study
The men had a PSA of 10 or lower and a Gleason score of 6 or lower. The clinical stage of their cancer was T1c or T2a. The latter means that cancer has been found in a biopsy of the prostate, but that the cancer is still small. There is no sign of metastasis yet.
Results
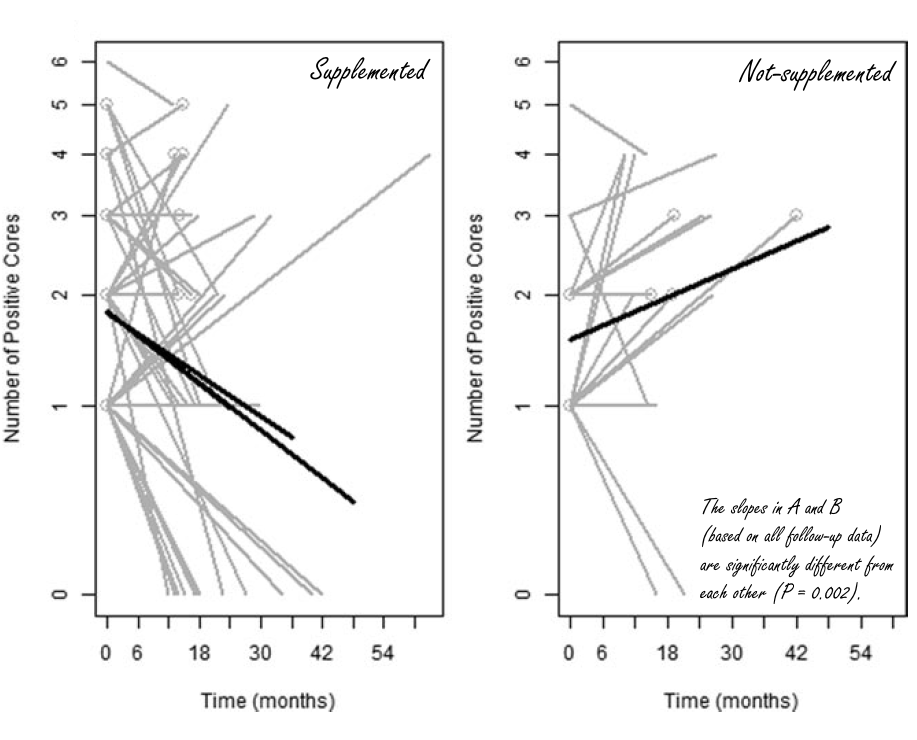
Click on the figures below for a larger version.
In the men who received vitamin D3, the number of biopsies that were positive for prostate cancer decreased over the year. In the control group, the number of positive biopsies actually increased over the year.
You can see this below.
Vitamin D levels
"Supplementation with 4000 IU/day for 1 year elevated circulating 25(OH)D to a range recently recommended by The Endocrine Society practice guidelines," the researchers write.
"These guidelines, compared with those of the Food and Nutritional Board of the IOM, recommend a 2- to 3-fold increase in vitamin D intake, with a tolerable upper intake level of 10000 IU/day."
Source: More: Archives:
|
|
||||||||||||||||