ergo-log.com

Definition: "An ergogenic aid is any substance or phenomenon that enhances performance "

about us

/

contact

/

Ergo-Log

16.07.2024


This phytochemical in apple peels fights eczema

The phenols in the peels of red apples combat eczema, according to an older trial published in Allergology International. However, the effective dose of apple peel phenols is somewhat on the high side.


This phytochemical in apple peels fights eczema


Study
In 2000, Japanese dermatologists affiliated with Kansai Medical University published a small trial in which 24 eczema patients participated as test subjects. They were 8-18 years old.

Half of the subjects took a placebo every day for 8 weeks. The other half took a daily supplement with 800 milligrams of condensed catechins from apples.

Catechins are conglomerates of quercetin-like substances. You can see the basic structure below.


This phytochemical in apple peels fights eczema


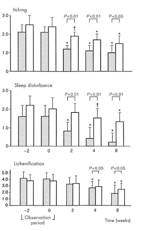
Results
After just 2 weeks, supplementation with condensed apple catechins reduced a number of symptoms of eczema. The subjects in the supplementation group [inked bars] reported less itching [Itching] and fewer sleep disturbances than the subjects in the placebo group [blank bars].

After 4 weeks of supplementation, the supplementation group also suffered less from blistering [Lichenifaction] than the placebo group.


This phytochemical in apple peels fights eczema


Which supplement?
For real life application of the Japanese study results you will need supplements. An imaginary test subject weighing 80 kilos needs 800 milligrams of condensed apple catechins daily. It is almost impossible to obtain such an amount from apples, as shown in the table below.

You look at the number of milligrams per gram of dry weight. The table is from [Canadian Journal of Botany. 2011 Feb;73(12):1897-1904.].


This phytochemical in apple peels fights eczema


Apples consist of 85 percent water, apples consist of 9 percent skin and the amount of condensed apple catechins in parts of the apple other than the skin are almost nothing.

If you know all that, you can calculate that you need to eat 1250-1500 grams of deep red apple such as Red Delicious every day to get 800 milligrams of condensed apple catechins. That's difficult.

As far as we know, there are no supplements on the market with a composition close to the supplement the researchers used. They made their supplement themselves.

Source:
Allergology International. 2000 Mar 49(1):69-73.

More:
Vitamin D works even better against eczema in combination with vitamin E 20.06.2024
Traditional fermented foods protect against eczema 18.06.2024
These probiotics reduce atopic dermatitis 16.06.2024
Less refined grain products and more vegetables | Fight eczema with nutrition 23.05.2024

Archives:
Skinceuticals
Apples


More apples, less lung cancer An anti-cancer factor in the skin of apples Apples protect better against cancer if you don't peel them

More apples, less lung cancer
The most common type of fruit in supermarkets reduces the risk of lung cancer, and may reduce the risk of colon and breast cancer as well.

An anti-cancer factor in the skin of apples
Today we stumbled upon an intersting in vitro study from more than a decade ago.

Apples protect better against cancer if you don't peel them
Apples are healthier if you eat them with skin. That is, if we are talking about red apples, such as Jonagold and Pink Lady.