ergo-log.com

Definition: "An ergogenic aid is any substance or phenomenon that enhances performance "

about us

/

contact

/

Ergo-Log

11.09.2025


Drinking Hydrogen Rich Water helps you squeeze more reps out of your sets

On social media, some influencers are raving about Hydrogen Rich Water. Athletes who drink it regularly are said to be able to train more intensively. Sounds like a sales pitch, sure. But according to a small human trial from China, it might actually be true.


Drinking Hydrogen Rich Water helps you squeeze more reps out of your sets


Study
Researchers at Chongqing Normal University published a small human study in Frontiers in Physiology in the fall of 2024, in which 18 young male students participated as subjects. The students had been training with weights for some time.

On two separate occasions, the researchers had the students perform six sets of squats to failure with 70 percent of their one-rep weight. The students rested for five minutes between sets.

On one occasion, the students drank 2 liters of water daily for the week preceding the session. On the day itself, the students drank their water before, during, and after their workout.

On another occasion, the students drank not regular water, but Hydrogen Rich Water (HRW). The researchers made their HRW themselves using a machine. The students consumed just over 3 milligrams of hydrogen gas daily.


Drinking Hydrogen Rich Water helps you squeeze more reps out of your sets


HRW
HRW is formed when a chemical reaction or electricity splits water into oxygen and hydrogen. The hydrogen remains in the water for several minutes. If you drink this water, the hydrogen in your body inhibits hydroxyl radicals—but not other useful radical molecules, such as NO. [Nat Med. 2007 Jun;13(6):688-94.]

According to Japanese research, after drinking HRW, the dissolved hydrogen circulates in the body for another hour. [Adv Exp Med Biol. 2012:737:245-50.] During that hour, people exhale about sixty percent of that hydrogen gas. The body uses the remaining forty percent to neutralize aggressive substances.

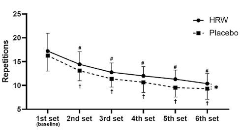
Results
When the students drank HRW, they were able to perform 11 percent more reps. Instead of 12 reps per set, they performed 13. Furthermore, HRW allowed the students to lift faster. Their power increased.

Click on the table below the figure for a larger version.


Drinking Hydrogen Rich Water helps you squeeze more reps out of your sets


Drinking Hydrogen Rich Water helps you squeeze more reps out of your sets


Conclusion
"Intake of Hydrogen Rich Water [...] could significantly enhance muscular endurance performance in trained individuals, making it a promising strategy for athletes or fitness enthusiasts seeking to improve muscular endurance during resistance training or competitions", the researchers write.

"Based on our findings, Hydrogen Rich Water administration is usually recommended before and during muscular endurance training."

"Future randomized controlled trials with rigorous designs are needed to help obtain more definitive conclusions on the long-term effects of Hydrogen Rich Water on muscular function performance."

Source:
Front Physiol. 2024 Oct 7:15:1458882.

More:
Krill oil reduces muscle loss during strict dieting to (almost) zero 06.09.2025
Ecdysterone and diosgenin enhance each other's anabolic effect 02.09.2025
The unsuspected muscle-enhancing effect of plums 03.04.2025
Monolaurin for bodybuilders 17.03.2025
Bodybuilders' muscles also become stronger with urolithin-A 29.01.2025

Archives:
Unusual Muscle Building Strategies
Nutrition & Strength Training
Hydration


Trigonelline as a natural anabolic agent - also for young people More muscle mass, less body fat by supplementing with garlic Glyoxylic acid, a glycine metabolite with an anabolic effect

Trigonelline as a natural anabolic agent - also for young people
Today we found and read a somewhat older patent in which trigonelline also enhanced anabolic processes and inhibited catabolic processes in young laboratory animals.

More muscle mass, less body fat by supplementing with garlic
Humans build muscle mass and lose a kilo of body fat when they take 4 capsules of garlic powder daily - without changing their lifestyle.

Glyoxylic acid, a glycine metabolite with an anabolic effect
Glyoxylic acid is a metabolite of glycine. Glyoxic acid is created when the body converts glycine into energy.