ergo-log.com

Definition: "An ergogenic aid is any substance or phenomenon that enhances performance "

about us

/

contact

/

Ergo-Log

30.11.2022


Orientin, the longevity flavonoid in bamboo

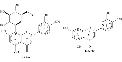
The flavonoid orientin is found in the leaves of bamboo varieties such as Pleioblastus yixingensis and Phyllostachys nigra. Orientin is actually nothing more than a luteolin molecule with a glucose molecule in the eighth position. If you administer orientin to laboratory animals, they will live longer and they will also remain healthy and vital for longer in old age.


Orientin, the longevity flavonoid in bamboo


Study
Researchers at Southwest Medical University in China exposed the worm Caenorhabditis elegans to increasing concentrations of orientin, and found that the animals lived longer as a result. The life-prolonging effect was optimal at a concentration of 100 micromol.


Orientin, the longevity flavonoid in bamboo

Orientin, the longevity flavonoid in bamboo


As nematodes such as Caenorhabditis elegans get older, they move less and less. This decrease in mobility says something about the decrease in health of the animals as a result of ageing. Exposure to orientin slowed this decline.

Mechanism
The decline in nematode motility due to aging is accompanied by an accumulation of dysfunctional proteins such as lipofuscin. This accumulation also occurs in people with dementia. Exposure to orientin reduced this increase.


Orientin, the longevity flavonoid in bamboo


The Chinese discovered even more anti-aging mechanisms of orientin. The flavonoid also stimulated the activity of heat shock proteins, antioxidant enzymes such as SOD and autophagy enzymes such as bec-1 and Igg-1. The latter enzymes stimulate cells to clean themselves up and break down aging organelles.

Autophagy allows cells to last longer.

Conclusion
"Our results suggest that orientin has promising antiaging effects and could be a potential natural source for developing novel therapeutic drugs for aging and its related diseases", write the Chinese.

Source:
Oxid Med Cell Longev. 2022 Feb 21;2022:8878923.

More:
Hesperetin, the cellular rejuvenator from citrus fruits 21.08.2022
Take berberine, live 80 percent longer 09.05.2021
The longevity top 3: rosmarinic acid, pomegranate and curcumin 15.02.2021

Archives:
Longevity


Fisetin, the life-extender in cucumber, makes senescent cells disappear from the body Quercetin is a geroprotector Can oranges extend your life?

Fisetin, the life-extender in cucumber, makes senescent cells disappear from the body
Everyday foods such as tea, onions, apples and cucumbers contain fisetin, a flavonoid that is very similar to quercetin.

Quercetin is a geroprotector
If you take a capsule of quercetin once a week, you probably will not prolong your life. No sir. But...

Can oranges extend your life?
It could very well be that oranges have a life-extending effect.