ergo-log.com

Definition: "An ergogenic aid is any substance or phenomenon that enhances performance "

about us

/

contact

/

Ergo-Log

13.08.2024


These medicinal mushrooms inhibit triple-negative breast cancer

Supplementation with extracts of medicinal mushrooms such as shiitake, maitake, reishi, Cordyceps sinensis, and Agaricus blazei may slow the growth of difficult-to-treat triple negative breast cancer tumors. This is evident from an Italian animal study.


These medicinal mushrooms inhibit triple-negative breast cancer


Study
Italian biologists at the University of Pavia injected mice with 4T1 cells. These cells are breast cancer cells that do not respond to estradiol, not to progesterone and not to epidermal growth factor. They also attract little attention from the immune system.

4T1 cells resemble the triple-negative breast cancer cells that oncologists find in women with difficult-to-treat forms of breast cancer cells. The researchers hoped that medicinal mushrooms contain substances that can inhibit these forms of breast cancer cells.

The Italians gave some of their mice a daily dose of a mix of medicinal substances marketed as Micotherapy U-care. This supplement contains extracts of shiitake, maitake, reishi, Cordyceps sinensis, and Agaricus blazei. You can see the composition of the supplement below.


These medicinal mushrooms inhibit triple-negative breast cancer


If the mice had been adult humans, they would have been given about 1,400-1,600 milligrams of extract daily. This amounts to 2 capsules per day.

Results
The main tumor that developed after the injection of the 4T1 cells was smaller in the mice that received the mushroom extract supplement.


These medicinal mushrooms inhibit triple-negative breast cancer


These medicinal mushrooms inhibit triple-negative breast cancer


On day 20 [T3] of the supplement, the researchers measured the distance the mice covered of their own accord. When mice feel good, they are more mobile. The distance was greater in the supplementation group, as can be seen below.

T1 = day 1 of the experiment.


These medicinal mushrooms inhibit triple-negative breast cancer


When the Italians studied cancer cells from the mice, they found fewer inflammatory markers in the supplementation group. However, the researchers suspect that this is only part of the complete mechanism by which mushrooms slow down tumors.

Conclusion
"Although further investigations are necessary to translate these experimental findings to clinical setting, turning them into new clinical therapeutic protocols, the present study remarkably supports the valuable potential of medicinal mushrooms extracts, being a natural source of novel drugs, as adjuvant therapy in the critical management of triple-negative breast cancer", the researchers conclude.

Sponsor
According to the publication in International Journal of Medical Sciences, the study was paid for by the Italian government and the researchers' university. AVD Reform, the manufacturer of Micotherapy U-care, did not sponsor the study.

Source:
Int J Mol Sci. 2020 May 14;21(10):3479.

More:
Reishi | A spoke in the wheel of aggressive breast cancer 21.02.2024
Each gram of mushroom reduces chance of breast cancer by several percent, says meta-study 26.11.2017
Yet again: eating lots of mushrooms protects against breast cancer 16.10.2017
Mushrooms may protect against breast cancer 10.08.2017
Mushrooms, green tea reduce chance of breast cancer by factor of 10 13.10.2012

Archives:
Preventing & Surviving Cancer
Breast Cancer
Mushrooms


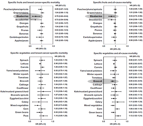
Leafy vegetables, broccoli and blueberries, no juices | 4 nutrition tips to survive breast cancer A little bit of physical activity drastically increases the survival chances of breast cancer patients Surviving breast cancer with fewer & slower carbohydrates

Leafy vegetables, broccoli and blueberries, no juices | 4 nutrition tips to survive breast cancer
Researchers at Harvard discovered this.

A little bit of physical activity drastically increases the survival chances of breast cancer patients
Walking for half an hour 5 days a week is enough to dramatically increase the survival rates of women with breast cancer.

Surviving breast cancer with fewer & slower carbohydrates
Women with breast cancer who want to maximize their chances of survival can increase their physical activity, eat more fruits and vegetables, and adopt healthier sleeping habits. And...