ergo-log.com

Definition: "An ergogenic aid is any substance or phenomenon that enhances performance "

about us

/

contact

/

Ergo-Log

30.03.2021


Leafy vegetables, broccoli and blueberries, no juices | 4 nutrition tips to survive breast cancer

Breast cancer survivors increase their chances of survival if they eliminate fruit juice from their diet and consume plenty of leafy greens, broccoli and blueberries. Researchers at Harvard discovered this.


Leafy vegetables, broccoli and blueberries, no juices | 4 nutrition tips to survive breast cancer


Study
Maryam Farvid, an epidemiologist from Harvard, analyzed data from 8,927 women with breast cancer enrolled in Nurses' Health Study I and II from 1980-2011.

Farvid followed the women until 2014-2015. In that period 2,521 women died. This equates to 28 percent of women. In 42 percent of the cases, the women died from breast cancer, in the remaining cases from other causes of death.

Farvid knew the women's diet. The women had completed questionnaires every 4 years after diagnosis.

Veggies
After Farvid had brushed away the influence of all conceivable factors with statistics, it turned out that a relatively high intake of vegetables reduced the risk of death. Every 2 daily servings of vegetables per day reduced all cause mortality by 11 percent.

Fruit had no significant effect.

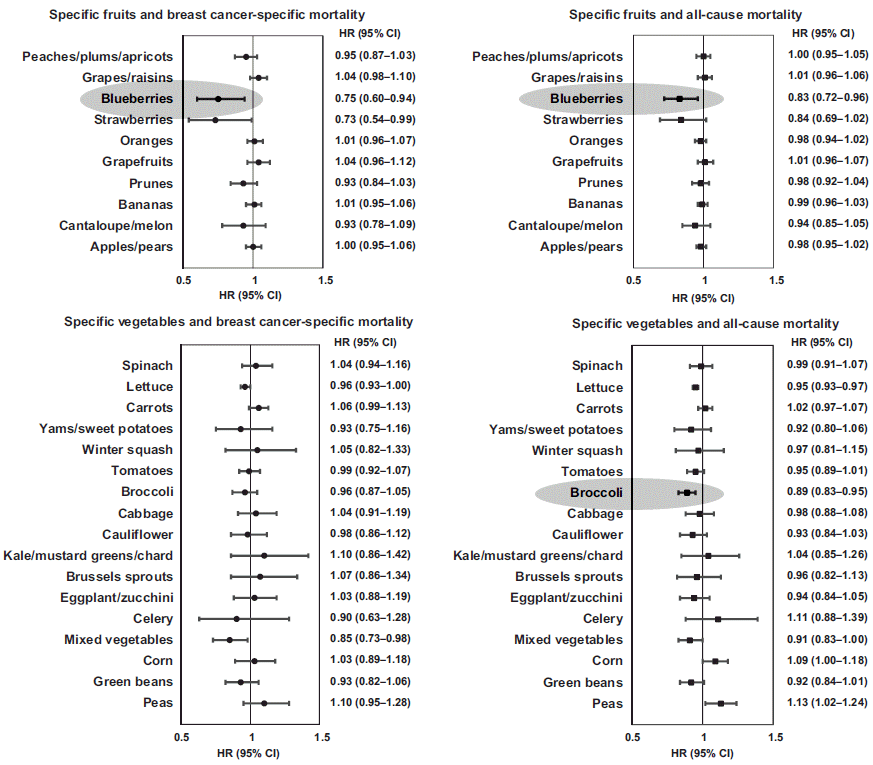
The tables below have been reduced. Click on it for a larger version.


Leafy vegetables, broccoli and blueberries, no juices | 4 nutrition tips to survive breast cancer


Leafy vegetables
When Farvid figured out which types of vegetables reduced the risk of death, the category of leafy vegetables stood out. The more leafy vegetables the women ate, the smaller their all-cause mortality.

Broccoli & berries
When Farvid started looking even more specifically, it turned out that broccoli reduced all-cause mortality. In addition, blueberries / blueberries were found to reduce all-cause mortality, as well as the risk of death from breast cancer. Blueberries were the only food in this study that specifically reduced the risk of dying from breast cancer.


Leafy vegetables, broccoli and blueberries, no juices | 4 nutrition tips to survive breast cancer


Fruit juice
Farvid also looked at fruit juice. Juices increased the risk of death from breast cancer and the overall risk of death. When the researchers looked at different types of juice individually, it turned out that orange juice had no effect on mortality, but all other types of juice did.

Juices are probably not good for breast cancer survivors because they contain a lot of sugars. Oranges apparently contain bioactive substances that counteract the negative effects of sugars.

Maybe limonene. Or polymethoxyflavonoids. Or obacunone. Or pectins. Or vitamin C. Or...

Source:
Cancer Res 2020;80:5134-43.

More:
Surviving breast cancer with fewer & slower carbohydrates 16.03.2021
A little bit of physical activity drastically increases the survival chances of breast cancer patients 12.12.2020
Low carbohydrate diet protects women with breast cancer during chemotherapy 05.03.2020

Archives:
Cancer Prevention & Survival
Breast Cancer
Berries


An unsuspected muscle food: blueberries Daily cup of blueberries protects against heart attack Blackcurrants boost dopamine, make physical activity more enjoyable

An unsuspected muscle food: blueberries
Blueberries aren't just a fashionable super food for health freaks looking to boost their immune and cardiovascular health.

Daily cup of blueberries protects against heart attack
If you eat a cup of blueberries every day, your chance of developing cardiovascular disease will decrease by 15 percent.

Blackcurrants boost dopamine, make physical activity more enjoyable
A glass of blackcurrant juice, taken for long-term moderately intensive exercise, makes that activity less tiring.