ergo-log.com

Definition: "An ergogenic aid is any substance or phenomenon that enhances performance "

about us

/

contact

/

Ergo-Log

28.12.2018


Insect protein just as good for muscle growth as protein from soy

Insect protein just as good for muscle growth as protein from soy
The amino acid composition of insect protein is equally suitable for athletes who want to stimulate their muscle growth as the amino acid composition of the soy protein. Danish sports scientists, affiliated with Aarhus University, report this in Nutrients. The researchers looked not only at the composition of insect protein, but also at the absorption of the amino acids in insect protein by the body.

Study
If you look at the amino acid composition of the proteins in soya and insects, then the proteins in soya and insects are equally interesting for humans. The amino acids composition is fine, although the amount of lysine and methionine is a bit low.


Insect protein just as good for muscle growth as protein from soy


Insect protein just as good for muscle growth as protein from soy


On 3 different occasions, the researchers gave 6 healthy young men 25 grams of protein. On one occasion, the protein came from whey, on the other times from soy or from insects.

Insect protein just as good for muscle growth as protein from soy
If you want to know exactly, the whey protein was Lacprodan SP-9225 Instant from Arla Foods Ingredients, the soy protein was 90 percent Soy Isolate from LinusPro Aps and the insect protein was Experimental Protein Isolate from Dutch Proti-Farm. The insect protein originated from Alphitobius diaperinus. And no, Proti-Farm did not sponsor the research.

Results
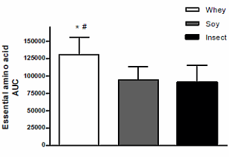
The researchers then monitored for 2 hours how many of which amino acids appeared in the men's blood. The figures below show that after intake of insect protein, as many essential amino acids, BCAAs and leucine appeared in their blood as after intake of soy protein.


Insect protein just as good for muscle growth as protein from soy


Insect protein just as good for muscle growth as protein from soy


Insect protein just as good for muscle growth as protein from soy


Conclusions
"We report that ingestion of whey, soy and insect protein isolate increases blood concentrations of EAA, BCAA and leucine over a 120 min period (whey > soy = insect)", the researchers summarize their findings.

"Insect protein induced blood amino acid concentrations similar to soy protein over a two-hour period post-prandial, but seems to be more slowly digested than both soy and whey. Still, the data suggests that protein extracted from insects may be a potential future alternative to soy protein in daily human nutrition."

Source:
Nutrients. 2018 Sep 22;10(10).

More:
Bar with protein from insects no match for the shake with whey 28.03.2018
Insect protein just as good as soy protein, not as good as milk protein 08.08.2013

Archives:
Nutrition & Strength Training
Plant Protein
Protein
Soy


Soya protein makes men healthier, not less masculine It's possible: building muscles with wheat protein High plant-based protein diet not bad for muscles

Soya protein makes men healthier, not less masculine
According to a small but - at least on the web - clearly visible group of activists, soya is pure aspartame. According to these soyaphobes, soy consumption will make men's testosterone levels plummet, for example.

It's possible: building muscles with wheat protein
You can build muscles with vegetable proteins with a low biological value, such as the wheat protein.

High plant-based protein diet not bad for muscles
Animal studies suggest that a diet containing a large amount of plant-based protein may have a negative effect on body composition. Because lab animals are not humans, we went in search of recent research on the effect of plant-based and animal proteins on humans.