ergo-log.com

Definition: "An ergogenic aid is any substance or phenomenon that enhances performance "

about us

/

contact

/

Ergo-Log

24.06.2022


Is curcumin acetylsalicylate a life extender?

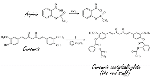
A new generation of anti-aging nutri-chemicals may soon appear on the gray market. They will have structural formulas parts of which will look familiar to you. We come to this conclusion after reading a study that researchers from Hunan University of Chinese Medicine published in Molecules. In their publication, the authors introduce the first of this possible series to us: curcumin acetyl salicylate.


Is curcumin acetylsalicylate a life extender?


Study
Curcumin acetyl salicylate is created when you glue the molecules of two existing anti-aging drugs together. One is, of course, curcumin, the other is aspirin.

We have written about curcumin dozens of times. Our pieces on this miracle phytochemical can be found here.

Aspirin is an inhibitor of COX enzymes and therefore - we are cutting biochemical corners here - an inhibitor of inflammatory reactions and the formation of blood clots. In healthy people, long-term administration of aspirin has no positive health effects to our knowledge.


Is curcumin acetylsalicylate a life extender?


Both substances, curcumin and aspirin, are interesting of course. But what kind of substance do you get when two such interesting substances are glued together? What are the health effects of aspirin curcumin ester?

With tests on the worm Caenorhabditis elegans, a popular model organism in anti-aging research, a group of creative Chinese researchers tried to formulate an answer to this question.

Life extension
When the researchers exposed the worms to curcumin acetylsalicylate [CA], they saw that the animals lived longer. In the optimal concentration, the new substance extended the average life span of the animals by just over 11 percent.


Is curcumin acetylsalicylate a life extender?



Is curcumin acetylsalicylate a life extender?



Is curcumin acetylsalicylate a life extender?


Mechanism
At the cellular level, a marker of aging is the accumulation of lipofuscin, a molecule that impairs tissue function. Administration of curcumin acetylsalicylate reduced the concentration of lipofuscin.

Curcumin acetylsalicylate probably stimulates the activity of genes such as daf-16. People have a number of different versions of that gene. We call them FOXO. FOXO genes initiate repair processes in cells.


Is curcumin acetylsalicylate a life extender?


Conclusion
"Much more investigation will also be needed about how the mechanisms underlying curcumin acetylsalicylate effects differ from those of curcumin and aspirin", the researchers write.

"Nevertheless, our study has opened a new avenue to develop novel anti-aging drugs."

Source:
Molecules. 2021 Oct 31;26(21):6609.

More:
Cur2004-8 more effective than curcumin, animal study 11.07.2020

Archives:
Longevity
Curcumin


Dietary spermidine extends your lifespan (by maybe 6 years) Animal study | Combination of glycine and NAC extends maximum lifespan by 40 percent AKG cycle makes you up to 8 years younger

Dietary spermidine extends your lifespan (by maybe 6 years)
Many, many foods contain spermidine. It is a polyamine to which nutritional science has never paid much attention. Wrongly, according to recent research.

Animal study | Combination of glycine and NAC extends maximum lifespan by 40 percent
Animal study.

AKG cycle makes you up to 8 years younger
According to in vitro and animal data, AKG is a promising longevity supplement. A real human study, although conducted without a control group, points in the same direction.