ergo-log.com

Definition: "An ergogenic aid is any substance or phenomenon that enhances performance "

about us

/

contact

/

Ergo-Log

27.03.2022


Citrulline supplementation increases strength gains and fat loss through interval training

Interval training is the best way to get fitter, but interval training can also make you stronger and leaner. The latter effects are more apparent if you supplement with citrulline.


Citrulline supplementation increases strength gains and fat loss through interval training


Study
Canadian researchers write in the Journal of Cachexia, Sarcopenia and Muscle how they got 81 obese elderly subjects to do interval training on an elliptical cross trainer 3 times a week for 12 weeks.

Each workout lasted 30 minutes, and included high-intensity 30-second sprints, interspersed with 5-minute recovery periods in which the subjects were performing with moderate intensity.

Half of the subjects consumed 10 grams of citrulline [HIIT-CIT] daily, the other half a placebo [HIIT-PLA]. The researchers used a citrulline product from Citrage. Citrage did not sponsor the study. [citrage.com]

Results
The interval training improved the subjects' daily physical functioning, regardless of whether or not they used citrulline. The subjects also became stronger and more muscular.

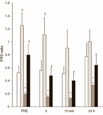
Citrulline supplementation seemed to enhance some of the positive effects of the interval training. The subjects in the placebo group did lose fat, but not to an extent which was statistically significant. However, this was the case in the supplementation group.


Citrulline supplementation increases strength gains and fat loss through interval training

Citrulline supplementation increases strength gains and fat loss through interval training


Muscle strength increased in both groups, but this increase was more convincing in the supplementation group.

Conclusion
"Adding citrulline to high-intensity interval training results in a greater increase in muscle strength and a significant decrease in fat mass", write the Canadians.

"The present study therefore positions high-intensity interval training combined with citrulline as an effective intervention to improve indicators of cardiovascular and metabolic health of obese older adults."

Source:
J Cachexia Sarcopenia Muscle. 2022 Mar 7. doi: 10.1002/jcsm.12955. Online ahead of print.

More:
How citrulline keeps muscles strong during physiological stress 24.11.2019
Citrulline increases muscle mass and reduces fat mass by blocking the aging process 08.12.2015
L-Citrulline helps you hold on to muscle mass during a weight-loss diet 04.10.2009

Archives:
Interval Training
Amino Acids
L-Citrulline


Chlorella increases the effect of interval training Speed up interval-training fat loss with supplement containing caffeine and green tea DHEA-supplementation boosts post-interval training anabolism

Chlorella increases the effect of interval training
If athletes use a few grams of Chlorella every day, their workouts may result in a greater increase in endurance than if those same athletes would not use Chlorella. Animal study.

Speed up interval-training fat loss with supplement containing caffeine and green tea
Short and intensive training can stimulate fat loss too, partly because the body burns more calories after highly intensive exertion.

DHEA-supplementation boosts post-interval training anabolism
Biochemists at Taipei Physical Education College discovered that supplementation with 50 mg DHEA enhances the hormonal response to interval training.