ergo-log.com

Definition: "An ergogenic aid is any substance or phenomenon that enhances performance "

about us

/

contact

/

Ergo-Log

15.04.2013


DHEA-supplementation boosts post-interval training anabolism

DHEA-supplementation boosts post-interval training anabolism
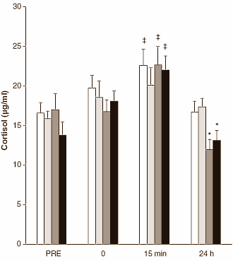
Interval training doesn't lower the level of anabolic hormones in the body, but many studies show that it raises the production of cortisol – which is catabolic – although not as much as endurance training does. Biochemists at Taipei Physical Education College discovered that supplementation with 50 mg DHEA makes the hormonal response to interval training even better.

DHEA for athletes
DHEA is a pro-hormone. Enzymes in the body convert it into androstenedione, estradiol and testosterone. Although DHEA trade is officially forbidden in the EU, the substance is readily available in Europe. In nearly all other countries DHEA is a legal supplement.


DHEA-supplementation boosts post-interval training anabolism


Sports scientists and endocrinologists have studied DHEA in detail, but most of the research has had disappointing results, for athletes at least.

One example is the study that researchers at Iowa State University published in 1999. [J Appl Physiol. 1999 Dec; 87(6): 2274-83.] In this study supplementation with 150 mg DHEA daily did not have a positive effect on the hormone balance of young men who did weight training, nor did it have an effect on body composition.

Study
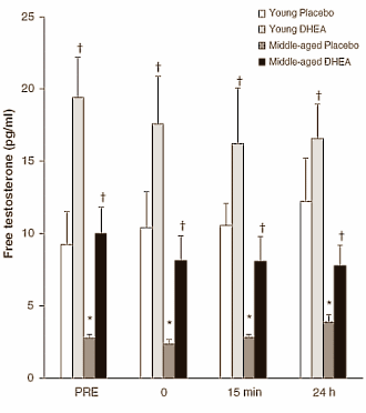
But the Taiwanese didn't give up there. They went on to study the effects of DHEA on eight young men in their early twenties and on eight men in their late forties. The men took 50 mg just before going to bed and the next day at eight o'clock in the morning they did an interval training session. This consisted of five short sprints (2 minutes in length) in which the men cycled at 100 percent of their maximal oxygen uptake. The men took one-minute rests between sprints.

Immediately before and after the interval training session the researchers analysed the men's blood. The researchers also repeated the experiment after the men had taken a placebo.

Results
They saw that the interval training had no noticeable effect on the men's free testosterone level. But DHEA supplementation raised the testosterone level in all of the men.


DHEA-supplementation boosts post-interval training anabolism


DHEA-supplementation boosts post-interval training anabolism


DHEA-supplementation boosts post-interval training anabolism


The second figure above shows that DHEA had hardly any effect on the cortisol level.

But DHEA did have an effect on the free testosterone:cortisol ratio. This rose, which is good news. The higher the ratio, the more easily the body recovers from physical exertion and builds up muscle mass. At least, that's what you'd expect. Whether this actually happened in the test subjects the researchers didn't measure.

Conclusion
So interval training doesn't affect the concentration of free testosterone the Taiwanese write. "More importantly, we provide convincing evidence that oral DHEA administration can rapidly raise the free testosterone levels of middle-aged men to levels comparable to that of young men, and this increase is well maintained after acute high-intensity interval training."

Source:
Eur J Appl Physiol. 2013 Jul;113(7):1783-92.

More:
The anticatabolic effect of 100 mg DHEA daily 29.06.2012
Fifty milligrams of DHEA a day has anabolic effect in women 13.07.2009

Archives:
Interval Training
DHEA


By combining BCAAs, citrulline and arginine, swimmers perform better during interval training Chlorella increases the effect of interval training Speed up interval-training fat loss with supplement containing caffeine and green tea

By combining BCAAs, citrulline and arginine, swimmers perform better during interval training
A combination of BCAAs, citrulline and arginine improves the results during interval training. This is the conclusion of study by Taiwanese sports scientists, affiliated with Chinese Culture University in Taipei.

Chlorella increases the effect of interval training
If athletes use a few grams of Chlorella every day, their workouts may result in a greater increase in endurance than if those same athletes would not use Chlorella. Animal study.

Speed up interval-training fat loss with supplement containing caffeine and green tea
Short and intensive training can stimulate fat loss too, partly because the body burns more calories after highly intensive exertion. It's called the EPOC effect.