ergo-log.com

Definition: "An ergogenic aid is any substance or phenomenon that enhances performance "

about us

/

contact

/

Ergo-Log

03.01.2024


Astaxanthin for cyclists

Supplementation with the carotenoid astaxanthin enhances athletes' endurance. A daily dose of 12 milligrams reduces the time it takes cyclists to complete a 40 kilometer time trial by 1.2 percent.


Astaxanthin for cyclists


Study
English researchers from Loughborough College gave 12 trained recreational cyclists 12 milligrams of astaxanthin every day for 7 days. The researchers used a supplement from the Swedish AstaReal. AstaReal funded the research.

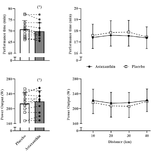
On the seventh and last day of the week, the subjects had to cycle a time trial of 40 kilometers.

On another occasion, the researchers repeated the procedure. Then the cyclists were given a placebo.

Astaxanthin
Astaxanthin is a carotenoid from algae such as Haematococcus pluvialis. The molecular structure is very similar to that of lutein and beta-carotene. [Figure] The difference is in the O- and OH- groups at the ends of the astaxanthin molecule.


Astaxanthin for cyclists


This structure not only gives astaxanthin a particularly strong antioxidant effect, but also ensures that astaxanthin can be absorbed by membranes in the cell. In the membrane, the molecule then occupies a position in which the heads of the molecule protrude from the outside of the membrane. Astaxanthin therefore protects both the inside and outside of the membrane.

Results
Astaxanthin supplementation reduced the time it took the cyclists to complete their 40K time trial by 1.2 percent, which equates to 50 seconds. This difference was statistically significant.

Astaxanthin also increased the riders' power slightly. And this difference was also statistically significant.


Astaxanthin for cyclists


Astaxanthin for cyclists


Mechanism
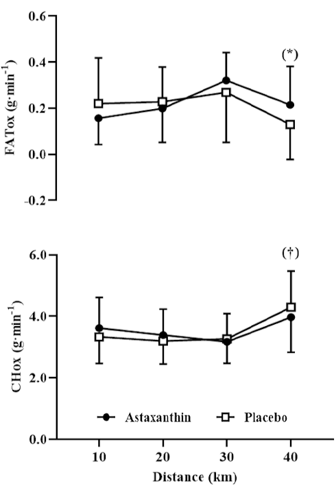
In the last 10 kilometers of the time trial, the cyclists burned a little more fat and a little less carbohydrates after using astaxanthin. This gave the British an idea of ​​what mechanism of action they were dealing with.

"Astaxanthin accumulates in the mitochondrial membrane following consumption where it is suggested to indirectly enhance fatty acid oxidation through protecting CPT1 from oxidative modifications during exercise", the British speculate.

"The expression of AMPK is also reported to be upregulated following astaxanthin intake."

"As a key enzyme in skeletal muscle metabolism, AMPK is implicated in the stimulation of fatty acid oxidation; the transportation of fatty acids into the mitochondria, potentially through the intercalation of CPT1 and fatty acid translocase/CD36; as well as the upregulation of transcription factors, such as peroxisome proliferator-activated receptor-gamma coactivator-1alpha (PGC-1-alpha), that are known to promote mitochondrial biogenesis and control mitochondrial oxidative capacity."

Source:
J Sci Med Sport. 2021 Jan;24(1):92-7.

More:
Astaxanthin, an anti-wrinkle supplement 03.11.2020
Supplementing with astaxanthin turns walking into bodybuilding 20.10.2019
Astaxanthin, a carotenoid from shrimps, lifts endurance efforts to higher level 10.09.2008
Astaxanthin, a carotenoid from plankton, raises testosterone levels 07.09.2008

Archives:
Endurance Supplements
Carotenoids


The more miles you run, the greater your need for omega-3 fatty acids Athletes who drink coffee daily respond well to caffeine supplements Under these circumstances, quercetin is an effective sports supplement

The more miles you run, the greater your need for omega-3 fatty acids
Runners - and probably other endurance athletes - improve their health if they consume an extra 1-2 grams of omega-3 fatty acids daily.

Athletes who drink coffee daily respond well to caffeine supplements
Coffee, energy drinks, tea and cola contain caffeine. If you consume those foods on a daily basis, your body has become accustomed to caffeine - and you therefore respond less well to caffeine supplementation.

Under these circumstances, quercetin is an effective sports supplement
If athletes are short on calories and also have little recovery time, they can significantly increase their endurance by supplementing with a gram of quercetin per day.