ergo-log.com

Definition: "An ergogenic aid is any substance or phenomenon that enhances performance "

about us

/

contact

/

Ergo-Log

20.05.2014


You'll live longer if your diet contains lots of vitamin K

Vitamin K
The more vitamin K [structural formula on the right] you consume through your diet, the less likely you are to die from a heart attack or cancer. Spanish epidemiologists made this discovery after following 7216 people over the age of 55 for five years. The researchers believe that raising your vitamin K intake is one of the more sensible things you can do to extend your lifespan.

Vitamin K
Vitamin K is not just one substance, but a group of compounds that can be divided roughly speaking into two subgroups: vitamin K1 – aka phylloquinone – and vitamin K2 – aka menaquinone. Vitamin K1 is found in vegetables, in particular curly kale and spinach; vitamin K2 is found mainly in fermented foods such as cheese, quark, yoghurt and natto.

The body needs vitamin K for the enzyme gamma-glutamyl-carboxylase to be able to do its work. This enzyme is involved in bone building, but also in keeping the walls of the blood vessels supple. Epidemiologists have reported that people who consume large amounts of vitamin K2 are less likely to develop cardiovascular disease. [Nutr Metab Cardiovasc Dis. 2009 Sep;19(7):504-10.]

Vitamin K is also involved in the process of blood coagulation. Anti-coagulant medicines often work by deactivating vitamin K.

In addition, vitamin K appears to inhibit cancer cells. A high vitamin K2 intake also reduced the chance of prostate cancer by almost half in the EPIC studies [Am J Clin Nutr. 2008 Apr;87(4):985-92.], and also reduced the chance of dying from cancer generally. [Am J Clin Nutr. 2010 May;91(5):1348-58.]

Study
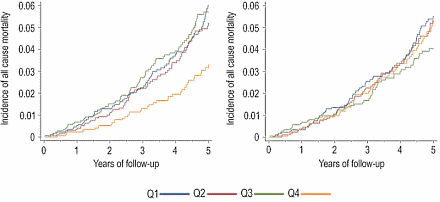
In their article in the Journal of Nutrition the Spaniards also write that their study – which involved 7216 over 55s at risk from cardiovascular disease – showed that vitamin K protects against cardiovascular disease. The researchers divided their participants into four groups, based on their vitamin K1 and K2 intake and observed that mortality was lower in the group with the highest intake [Q4] than in the other groups.

The correlation was strongest with the K1 intake [below left], but there was also a correlation, albeit less strong, with vitamin K2 [below right].


You'll live longer if your diet contains lots of vitamin K


When the researchers had corrected for everything they could think of – including vegetable intake – they discovered that a high vitamin K2 intake [in Q4 the average intake was 57.5 mcg/day] reduced the likelihood of dying from cancer, but that the reduction was not statistically significant. Vitamin K2 had no effect on total mortality risk.


You'll live longer if your diet contains lots of vitamin K


The protective effect of vitamin K1 was more convincing. A high vitamin K1 intake [in Q4 the average intake was 626.4 mcg/day] reduced the risk of dying from cancer, and the effect was statistically significant.

The reduction in the likelihood of developing cardiovascular disease as a result of a high vitamin K1 intake was not significant, but the effect on total mortality risk was.


You'll live longer if your diet contains lots of vitamin K


The researchers looked at the effect of changes in vitamin K intake. The table below shows that an increase in both vitamin K1 and K2 intake almost halved all-cause mortality.


You'll live longer if your diet contains lots of vitamin K


Conclusion
"Our results suggest that the dietary intake of both active forms of vitamin K has a potential protective role in cardiovascular mortality, cancer mortality, and all-cause mortality in a cohort of Mediterranean individuals at high cardiovascular disease risk with a relatively high consumption of this vitamin", the researchers conclude.

Source:
J Nutr. 2014 May;144(5):743-50.

More:
Animal study: vitamin K supplementation reduces fat 30.06.2012
More vitamin K2, more testosterone 08.11.2011

Archives:
Longevity
Vitamin K
Vitamins


Live two years longer with extra vitamin E Fit centenarians have high vitamin D levels Live ten years longer with just one multivitamin pill per day

Live two years longer with extra vitamin E
According to most scientists, alpha-tocopherol (one form of vitamin E) supplementation is useless. But not according the two Finnish researchers.

Fit centenarians have high vitamin D levels
A relatively high vitamin D level may enable you to reach a ripe old age and avoid chronic diseases such as cancer, diabetes type-2 and cardiovascular disease.

Live ten years longer with just one multivitamin pill per day
These researchers discovered that women who took a supplement containing extra micronutrients every day had longer telomeres.