ergo-log.com

Definition: "An ergogenic aid is any substance or phenomenon that enhances performance "

about us

/

contact

/

Ergo-Log

23.03.2021


Do you want to live longer? Eat more fruits and vegetables (without agro-industrial toxins)

If you want to live longer, increasing your intake of fruits and vegetables is one of the smartest things you can do. But then you have to be sure that they do not contain agro-industrial toxins such as heavy metals or pesticides...

Study
Do you want to live longer? Eat more fruits and vegetables (without agro-industrial toxins)
Yuxuan Gu, a health scientist from Zhejiang University School of Medicine, used the data from 19,542 adults who participated in the China Health and Nutrition Survey.

Gu was able to follow the study participants for an average of 14 years. During that period 1,409 study participants died.

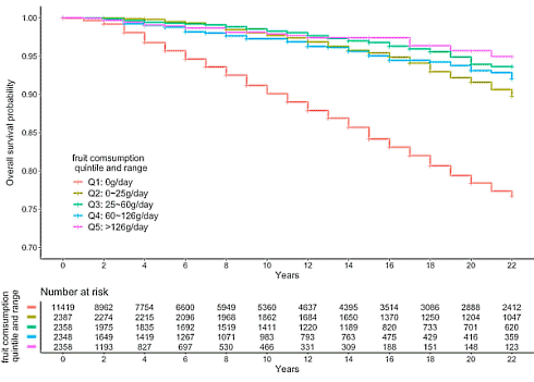
On the basis of their intake of vegetables, fruits and vegetables and fruit together, Gu was able to divide the study participants into 5 groups of approximately equal size. Gu then determined the relationship between the risk of death and the risk of death.

Results
The optimal intake of vegetables in these studies was 327-408 grams per day. The optimal intake of fruit was more than 126 grams per day.

The first figure below relates to the intake of vegetables, the second to that of fruit, the third to the intake of fruit and vegetables together. Click on the figures for a larger version.


Do you want to live longer? Eat more fruits and vegetables (without agro-industrial toxins)


Do you want to live longer? Eat more fruits and vegetables (without agro-industrial toxins)


Do you want to live longer? Eat more fruits and vegetables (without agro-industrial toxins)


A high intake of vegetables therefore reduced the risk of death, but the highest intake protected a little less well than the second highest intake. Gu has not investigated how this is possible, but she does have a theory about it.

Agro-industrial toxins
"The heavy metals in vegetables which often aggregate in the edible part is of growing concern in China due to the contaminated soils and irrigation water", she writes.

"Pesticide residue in vegetables is also a problem in China which was reported by Xu and her colleagues, showing that approximately 40% of collected samples tested positive for different kinds of pesticides and 6.1% exceeded the Chinese residue limits."

"Long term exposure to vegetables with heavy metals and pesticide residues is extremely hazardous to human health. High intake of vegetables increases the risk of exposure to these harmful substances which may counteract the benefits of vegetables."

This situation is not unique to China. Until the 1970s, the quality of fruits and vegetables in the West was probably not much better than in China today.

Source:
Int J Environ Res Public Health. 2021 Jan 5;18(1):342.

More:
Diet with lots of vegetables reduces risk of mortality and cancer 22.08.2015
Optimal fruit and veg intake is a pound a day, says meta-study 18.01.2014
Live longer? Don't take pills, eat more veg... 15.04.2014

Archives:
Longevity


These two types of vegetables boost your vascular health People who eat vegetables are happier and more creative Vegetables, fruit and muscles

These two types of vegetables boost your vascular health
Sure, vegetables are healthy for your arteries, but one type of vegetables offers more vascular protection than the other.

People who eat vegetables are happier and more creative
People who eat large quantities of fruit and vegetables are happier and more creative than people who only eat small amounts of these.

Vegetables, fruit and muscles
A diet with lots of fruit and vegetables is not only interesting for people who just want to live longer and want to stay healthy for as long as possible. Such a diet also provides more and better functioning muscles.