ergo-log.com

Definition: "An ergogenic aid is any substance or phenomenon that enhances performance "

about us

/

contact

/

Ergo-Log

18.12.2020


Whether or not you are used to caffeine, a cup of coffee improves sports performance

Whether or not you are used to caffeine, a cup of coffee improves sports performance
The human study that sports scientists at the University of Coventry in England will soon be publishing concerns cyclists, but it probably applies to all athletes. And that's double plus good, if we are to quote George Orwell. Neil Clarke and Darren Richardson have made it clear that even athletes who are used to large amounts of caffeine perform better after a strong cup of coffee.

Study
On two occasions, the researchers got 46 recreational cyclists to cycle a distance of 5 kilometers in the shortest possible time.

On one occasion, the cyclists drank a coffee-flavored placebo an hour before climbing on their bike. The other time they had a cup of instant coffee with caffeine. The researchers ensured that the subjects consumed 3 milligrams of caffeine per kilogram of body weight.

Results
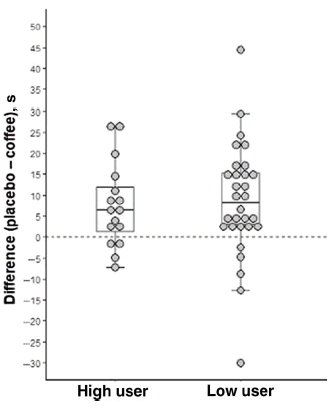
The cup of coffee made the subjects 8 seconds faster on average, [Figure] but that is of course not that interesting. What is interesting is the figure below.


Whether or not you are used to caffeine, a cup of coffee improves sports performance


The researchers divided the subjects into a group that normally consumed little caffeine on a daily basis [less than 3 milligrams per kilo day] [low user] and a group that consumed relatively much caffeine daily [more than 6 milligrams per kilo per day] [high user].

The low users and the high users did equally well.

Conclusion
"Habitual caffeine consumption did not affect the ergogenicity of coffee ingestion prior to a 5-km cycling time trial", summarize the researchers.

Source:
Int J Sport Nutr Exerc Metab. 2020 Dec 1;1-8. doi: 10.1123/ijsnem.2020-0204. Online ahead of print.

More:
1.9 percent faster running after a cup of coffee 13.12.2019
Coffee better stimulant than caffeine pill for strength athletes 30.04.2016
Cup of coffee reduces RSI arm pain 20.03.2014

Archives:
Caffeine
Coffee


After a cup of coffee, your brown fat cells produce more heat Every cup of coffee you drink diminishes your chances of prostate cancer (a little) Coffee - a superfood that reduces mortality

After a cup of coffee, your brown fat cells produce more heat
After a cup of coffee your body consumes more energy.

Every cup of coffee you drink diminishes your chances of prostate cancer (a little)
Coffee protects men against prostate cancer. Every cup of coffee that men drink per day reduces their chance of developing prostate cancer by 1-3 percent.

Coffee - a superfood that reduces mortality
Every 2 cups of coffee you drink every day will reduce your mortality risk by almost a quarter.