ergo-log.com

Definition: "An ergogenic aid is any substance or phenomenon that enhances performance "

about us

/

contact

/

Ergo-Log

13.12.2019


1.9 percent faster running after a cup of coffee

1.9 percent faster running after a cup of coffee
If you want to give yourself a boost before you go for a run, but don't feel like pre-workout powders with countless exotic components, just take a good cup of coffee. We base this advice on a human study that English scientists from Coventry University published in the International Journal of Sports Physiology and Performance.

Study
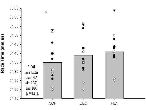
The researchers got 15 trained medium-distance runners to run 1600 meters on 3 different occasions. On one occasion the men were given a placebo one hour before the session, on another occasion a cup of coffee without caffeine, and on another occasion a cup of caffeine.

The men received a cup of 300 milliliters of coffee. The researchers had made this from instant coffee. The men received 0.1 gram of instant coffee per kilogram of body weight. In total this will have amounted to 2-3 teaspoons of instant coffee. The products that the researchers used were Nescafe Original and Nescafe Original Decaffeinated.

Most men were coffee drinkers. The researchers did not ask the men to reduce their caffeine intake in the days before the session.

Results
If the men drank a cup of decaffeinated coffee, they would run 1.3 percent faster than if they had received a placebo. If they had drunk a cup of regular coffee with caffeine, they would run 1.9 percent faster.


1.9 percent faster running after a cup of coffee


Conclusion
"In conclusion, the ingestion of caffeinated coffee 60 minutes before a one-mile race [...] improved race performance compared with decaffeinated coffee and a placebo solution", write the researchers. "These findings suggest that the ingestion of caffeinated coffee is a suitable source of caffeine prior to a one-mile running race."

Source:
Int J Sports Physiol Perform. 2018;13(6):789-94.

More:
Coffee better stimulant than caffeine pill for strength athletes 30.04.2016
Fit or not, caffeine works 18.04.2012

Archives:
Nutrition & Endurance Training
Caffeine
Coffee


After a cup of coffee, your brown fat cells produce more heat Drink a couple of cups of coffee a day, and live longer Coffee - a superfood that reduces mortality

After a cup of coffee, your brown fat cells produce more heat
English cell biologists, affiliated with the University of Nottingham, write this in Scientific Reports.

Drink a couple of cups of coffee a day, and live longer
Yep, we're writing about telomeres again.

Coffee - a superfood that reduces mortality
Every 2 cups of coffee you drink every day will reduce your mortality risk by almost a quarter.