ergo-log.com

Definition: "An ergogenic aid is any substance or phenomenon that enhances performance "

about us

/

contact

/

Ergo-Log

25.10.2022


Under stress? Social support and hugs protect against viruses

When you're under a lot of psychological stress, your immune system has more trouble fighting viruses and other pathogens. Social support, for example in the form of hugs, counteracts the negative effect of stress. Psychologists from Carnegie Mellon University reported this in Psychological Science.


Under stress? Social support and hugs protect against viruses


Study
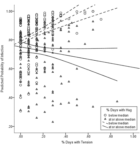
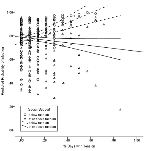
The researchers asked 400 subjects aged 18-35 how much social support they received and how often they were hugged. They also used the number of Days With Tension to determine how much stress the subjects experienced due to social conflicts.

The researchers then infected the subjects with a cold virus and determined who became ill and who did not.

Results
The subjects who reported a lot of Days With Tension became ill more often if they received little Social Support. Receiving social support abolished the undermining effect of stress.


Under stress? Social support and hugs protect against viruses


Under stress? Social support and hugs protect against viruses


Hugs - measured as Days With Hugs - had the same effect as social support.

People who get a lot of hugs are also likely to get a lot of social support. With a little statistical juggling, the researchers were able to separate the two effects and calculate that about one third of the positive effect of social support consisted of the positive effect of hugs.

"The apparent protective effect of hugs may be attributable to the physical contact itself or to hugging being a behavioral indicator of support and intimacy", first author Sheldon Cohen sums up in a press release. [shafaqna.com 21 December 2014] [Offline]

"Either way, those who receive more hugs are somewhat more protected from infection."

Source:
Psychol Sci. 2015 Feb;26(2):135-47.

More:
Meditation prevents colds 15.12.2012
Empathetic doctors have higher cure rate 20.03.2012
Happy people catch cold less quickly 22.03.2012

Archives:
Immune System
Psychology


Vitamin D supplement reduces flu risk, says meta-study Do you want to prevent virus infection? Reduce long-term stress A little physical activity reduces the risk of covid | Meta-study

Vitamin D supplement reduces flu risk, says meta-study
There is so much fuss about corona that the old-fashioned flu no longer seems to exist. Maybe the situation will return to normal one day, and hospitals will just be full of flu patients every winter. Just like before.

Do you want to prevent virus infection? Reduce long-term stress
If you are to believe the numbers, the umpteenth corona wave is approaching.

A little physical activity reduces the risk of covid | Meta-study
The mass media tell almost nothing about the effect of lifestyle on a viral disease about which there is much to be said, but about which you should keep your mouth shut.