ergo-log.com

Definition: "An ergogenic aid is any substance or phenomenon that enhances performance "

about us

/

contact

/

Ergo-Log

19.09.2019


How drinking two glasses of cranberry juice per day improves your health

How drinking two glasses of cranberry juice per day improves your health
If fat people drink 450 milliliters of cranberry juice every day, their insulin sensitivity increases slightly, and their cholesterol levels improve. American researchers at Washington State University come to this conclusion in a human study published in the European Journal of Nutrition.

Study
The researchers divided 78 healthy but overweight or obese test subjects into 2 groups. The test subjects were 30-70 years old and had a BMI of 27-35.

One group drank a placebo every day for 8 weeks, the other drank 450 milliliters of low-calorie cranberry juice every day. You can see the composition of the juice here.

The juice was made by the American company OceanSpray, an organization of and for cranberry growers. [oceanspray.com] OceanSpray sponsored the study.

Cranberry
According to another sponsored human study, cranberry stimulates the immune system a little, so that flu viruses seem to have a little less impact. In yet another, also sponsored human study, cranberry reduces the risk of urinary tract infection.


How drinking two glasses of cranberry juice per day improves your health



The bioactive substances in cranberry are probably phenols. In fundamental research conducted on nematodes, these phenols appear to have a life-prolonging effect.

Results
The researchers found more NO [NO] and less of the blood-constricting hormone endothelin 1 [ET-1] in the blood of the subjects who drank cranberry juice than in the blood of the placebo group. However, those differences were not significant.


How drinking two glasses of cranberry juice per day improves your health



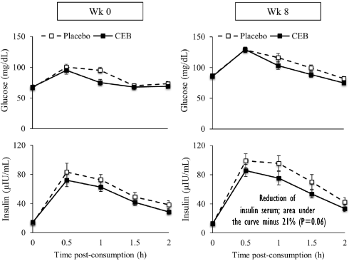
After 8 weeks the subjects in the experimental group produced slightly less insulin than the subjects in the placebo group. This difference was statistically significant.


How drinking two glasses of cranberry juice per day improves your health


How drinking two glasses of cranberry juice per day improves your health



After 8 weeks, the concentration of 'good cholesterol' HDL was 8 percent higher in the experimental group than in the placebo group.

Conclusion
"In conclusion, consumption of a low calorie, high polyphenol cranberry beverage reduced risk or cardiovascular disease risk factors by improving redox status, vasodilation, glucose homeostasis, and HDL cholesterol in healthy overweight/obese adults," the researchers summarize.

Source:
Eur J Nutr. 2019 Apr;58(3):1223-35.

More:
Animal study: cranberries are an anti-aging drug 19.03.2014
Two-week cranberry course gives six months protection against bladder infections 25.01.2014
Cranberries help immune system fight colds and flu 17.01.2014

Archives:
Cardiovascular Health
Insulin & Glucose
Cranberries


Three grams of sumac powder per day lowers your glucose and insulin levels Daily cup of blueberries protects against heart attack This is what happens if you eat 14 g goji berries every day

Three grams of sumac powder per day lowers your glucose and insulin levels
Overweight and obese people with type 2 diabetes become healthier if they take 3 grams of sumac powder every day. No, no capsules with an expensive extract, but just sumac powder from the local supermarket.

Daily cup of blueberries protects against heart attack
If you eat a cup of blueberries every day, your chance of developing cardiovascular disease will decrease by 15 percent.

This is what happens if you eat 14 g goji berries every day
This human study was published in Oxidative Medicine and Cellular Longevity.