ergo-log.com

Definition: "An ergogenic aid is any substance or phenomenon that enhances performance "

about us

/

contact

/

Ergo-Log

11.10.2010


Strength training helps slimmed down fatties to stay slim

It'll be obvious to readers of this web magazine, but what's wrong with stating the obvious? Nothing at all. According to sports scientists at the University of Missouri, strength training helps slimmed down fatties to stay slim. The weight they put on after dieting, if they pump iron regularly at least, will be converted into lean mass and not fat.


Strength training helps slimmed down fatties to stay slim


Study
The researchers started by getting 9 overweight men and women to first lose 6 percent of their weight through a combination of a calorie reduced diet and cardio training.

None of the subjects took exercise previously, but during the weight-loss phase, which lasted 8-12 weeks, they went to the gym 5 times a week. They started off by cycling for half an hour at 50 percent of their VO2max, and by the end of the weight-loss phase they had increased this to 45 minutes at 60 percent of their VO2max. The subjects followed a diet that provided them with 500 kcal less than they burned each day.

Once they’d finished dieting, the subjects' energy intake was increased by 1000 kcal/day. They stopped doing the cardio training and instead did weight training 3 times a week. Each session the subjects did 3 sets of ordinary and incline bench presses, neck presses, bent-over rows, biceps curls, triceps extensions, squats, leg presses, leg extensions and leg curls. They finished up each training session with crunches.

Results
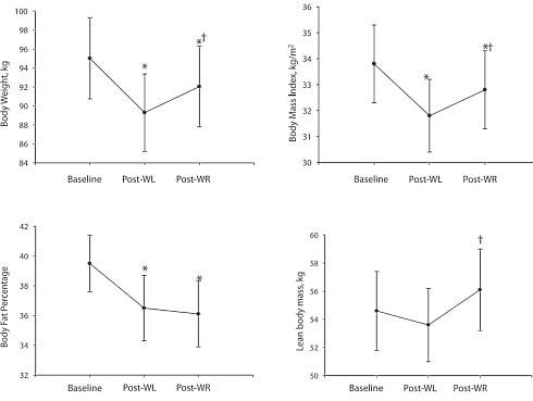
Within 8-12 weeks the subjects had regained half of the weight they had lost. But nearly all the weight came back in the form of lean body mass; their fat percentage continued to decline.

Click on the figures and table below for a larger version.


Strength training helps slimmed down fatties to stay slim


Strength training helps slimmed down fatties to stay slim


The subjects also became fitter during the strength-training period. Their VO2max increased, and they became stronger of course.

The average increase in waist measurement during the strength-training phase was a meagre 1.5 cm, so the subjects' physique improved considerably.

The researchers also monitored the subjects' insulin sensitivity. A measure used for this is the quantitative insulin-sensitivity check index [QUICKI]. The higher the QUICKI, the more sensitive you are to insulin and the less likely you are to develop diabetes-2. The QUICKI rose in the weight-loss phase and continued to do so more slowly in the strength-training phase.

Other trick: more protein
In 2003 Dutch researchers published the results of a study in which they gave people who had lost weight a diet containing more protein than normal. [Int J Obes Relat Metab Disord. 2004 Jan;28(1):57-64.] The subjects put on weight, but their waist measurement and fat percentage continued to decrease.

Perhaps it's worth combining the Dutch approach with the American approach.

Obvious really.

Source:
J Clin Hypertens (Greenwich). 2010 Jan; 12(1): 64-72.

More:
L-Serine supplementation may make the yo-yo effect a thing of the past 08.05.2022
Successful weight loss diet? Quinoa ecdysteroids help you stay slim 09.09.2019
Lost weight? Discipline at weekends and on holiday helps you maintain your weight 17.03.2012

Archives:
Strength Training
Weight Loss


Strength training fights belly fat better than aerobic training Strength training in a hypoxia tent results in more muscle mass and more fat loss Here's your proof: training for fat spot reduction doesn't work

Strength training fights belly fat better than aerobic training
Men who do strength training keep their fat percentage lower in the long term than men who run, cycle or do other aerobic exercise.

Strength training in a hypoxia tent results in more muscle mass and more fat loss
It will cost you several thousand dollars, but if you are willing to invest this amount of money in a hypoxia tent and a generator, you may make your strength training more effective.

Here's your proof: training for fat spot reduction doesn't work
Even if you do a couple of hundred reps for each set of your triceps extensions, it won't help the fat on your upper arms to disappear. And you won't get rid of the fat on your hips by doing sets of hundreds of reps on the leg press either.