ergo-log.com

Definition: "An ergogenic aid is any substance or phenomenon that enhances performance "

about us

/

contact

/

Ergo-Log

03.08.2017


Curcumin and ursolic acid starve prostate cancer cells

Substances found in foods such as apples [ursolic acid], grapes [resveratrol] and turmeric [curcumin] inhibit the growth of prostate cancer cells. And they work even better in combination, researchers at the University of Texas at Austin discovered. The plant-based substances block the uptake of an amino acid that many types of prostate cancer need.

Study
The researchers looked at 142 plant-based substances to see whether they killed prostate cancer cells. They then did experiments with three effective and safe prostate cancer cell killers, performing animal and test-tube studies to elucidate the way the substances worked. The researchers were interested to know whether there are combinations natural substances that have a stronger effect than the substances separately.

Results
The combined concentration of the anabolic hormones DHEA, testosterone and IGF, after the researchers had filtered out age, education, BMI and other factors, was a strong predictor of the men's survival chances.

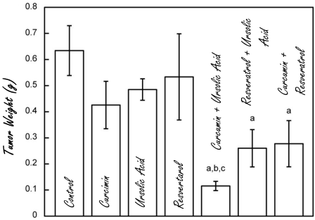
Curcumin, resveratrol and ursolic acid all reduced the growth of prostate cancer tumours that had been introduced into lab animals. A combination of these three substances reduced the tumour growth even more. The combination of curcumin and ursolic acid was particularly effective.


Curcumin and ursolic acid starve prostate cancer cells


Curcumin and ursolic acid starve prostate cancer cells


The researchers used extremely high doses. The study was not a practical one, but was intended as proof of principle. The researchers' main aim was to show that they have developed a method to search systematically for combinations of naturally occurring substances that fight the cancer cells.

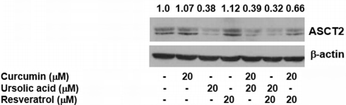
In experiments with prostate cancer cells, the researchers discovered that curcumin and ursolic acid - especially when combined - stimulated suicide [apoptosis] by deactivating cellular defence mechanisms.


Curcumin and ursolic acid starve prostate cancer cells


Curcumin and ursolic acid starve prostate cancer cells


How curcumin and ursolic acid get prostate cancer cells to commit suicide is shown above. They reduce the synthesis of the protein ASCT2, which is the protein that transports glutamine to prostate cancer cells. Glutamine is an important fuel for many types of prostate cancer.

Conclusion
"The beauty of this study is that we were able to inhibit tumor growth in mice without toxicity," said research leader Stefano Tiziani in a press release. [utexas.edu June 6, 2017]

"These nutrients have potential anti-cancer properties and are readily available. We only need to increase concentration beyond levels found in a healthy diet for an effect on prostate cancer cells."

Source:
npj Precision Oncology (2017) 1:18.

More:
Every 10 g carrot reduces chance of prostate cancer by 5 percent 08.11.2014
Every cup of coffee you drink diminishes your chances of prostate cancer (a little) 23.02.2014
Cabbage halves prostate cancer risk 10.02.2013

Archives:
Ursolic Acid & Other Plant Steroids
Cancer Prevention
Prostate Cancer
Curcumin


Eating lots of walnuts helps fight prostate cancer Fatty acid composition in diet is a factor in prostate cancer metastases Low-inflammatory-index diet protects against prostate cancer

Eating lots of walnuts helps fight prostate cancer
Walnuts contain substances that sabotage the spread and growth of prostate cancer tumours.

Fatty acid composition in diet is a factor in prostate cancer metastases
If you consume relatively large amounts of omega-6 fatty acids and relatively low amounts of omega-3 fatty acids you are more likely to develop secondary tumours.

Low-inflammatory-index diet protects against prostate cancer
The features of the diet? Large amounts of vitamins, tea, turmeric, good fatty acids, magnesium and selenium, herbs, peppers, fibre and garlic.