ergo-log.com

Definition: "An ergogenic aid is any substance or phenomenon that enhances performance "

about us

/

contact

/

Ergo-Log

20.04.2013


Chemical weight loss won't lift depression

Chemical weight loss won't lift depression
The fatter you are, the more likely it is that you don't have a sunny view of life. Studies show that obesity increases the chance of having symptoms of depression. You'd expect that overweight people who lose weight would become more cheerful as a result. And this is indeed the case researchers at the University of Pennsylvania discovered when they did a meta-study. As long as pharmacological slimming aids are not involved.

Study
The researchers collated data from 31 studies, involving almost eight thousand obese people in total. In these studies test subjects lost weight in different ways, and the authors looked at whether the weight-loss approach used also reduced symptoms of depression.

The test subjects in the studies were not depressive by nature. The researchers emphasise that they looked at 'symptoms of depression' and not at 'depression'.

Results
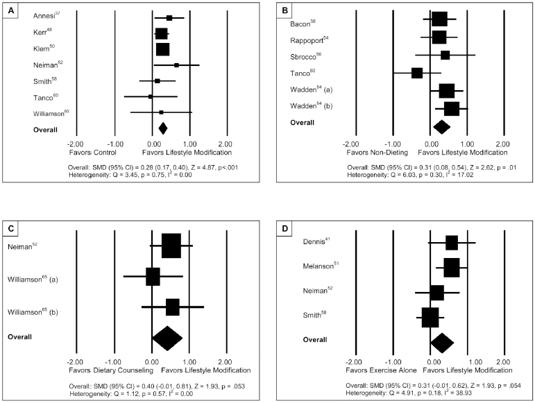
The four figures below show that comprehensive treatment approaches are most effective, in which overweight people learn that they need to eat less, exercise more and can indeed change their behaviour. Click on the figure for a larger version.

Figure A shows the effect of an approach that is based on eating less, exercising more and behavioural therapy versus doing nothing at all.


Chemical weight loss won't lift depression


Figure C shows the effect of an approach based on eating less, exercising more and behavioural therapy, versus dietary advice alone.

Figure D shows the effect of an approach based on eating less, exercising more and behavioural therapy versus a lifestyle changed based solely on more exercise.



In the figure above you can see the effect of a weight loss approached based purely on medicines such as orlistat, sibutramine or rimonabant, compared with the effect of a placebo. As you can see, symptoms of depression were not reduced by this approach.

Conclusion
"Collectively, our findings suggest that the effects of most weight loss interventions - particularly non-pharmacologic therapies - on mood are favorable when weight loss is undertaken by obese individuals who are generally free of depression", the researchers write.



"Lifestyle modification programs, which incorporated exercise with dietary instruction and behavior therapy, were found to induce marginally or significantly greater reductions in symptoms of depression than other non-pharmacologic treatments."

Source:
Int J Obes (Lond). 2011 Nov; 35(11): 1363-76.

More:
Fruits and vegetables are natural antidepressants 28.04.2020
Depression disappears faster due to less than an hour of strength training or cardio per week 16.11.2019
Healthy diet protects against depression 05.03.2019

Archives:
Weight Loss
Depression


Magnesium is an antidepressant Recovery from depression faster with vitamin C supplement Mild depression disappears after taking fish oil for three weeks

Magnesium is an antidepressant
According to the Americans, the effect of extra magnesium is visible after just two weeks.

Recovery from depression faster with vitamin C supplement
People suffering from depression who take the anti-depressant fluoxetine recover more quickly if they also take a daily 1g vitamin C supplement.

Mild depression disappears after taking fish oil for three weeks
The subjects in the study were a couple of dozen students with mild depression.