ergo-log.com

Definition: "An ergogenic aid is any substance or phenomenon that enhances performance "

about us

/

contact

/

Ergo-Log

03.07.2012


Words of encouragement make you stronger and fitter

Your maximal strength and maximal oxygen uptake may increase if someone encourages you. The effect of encouragement may depend upon your personality type.

Resistance training & encouragement
In 1996 researchers at the Auckland Institute of Technology in New Zealand published the results of an experiment in which twenty healthy students had participated. [Br J Sports Med. 1996 Sep; 30(3): 243-5.]

The students were untrained. They had to overcome resistance using their biceps while the researchers measured the maximal strength that the students developed.

On one occasion the researchers didn't offer any encouragement to the students; on the other occasion they did do so. "In the set of contractions where verbal encouragement was provided, the words spoken were 'Come on, you can do it', and they were repeated for the duration of the contraction", the researchers wrote.

The figure below shows that the highest force measured increased by five percent as a result of words of encouragement. And yes, that was a statistically significant effect.


Words of encouragement make you stronger and fitter


Words of encouragement make you stronger and fitter


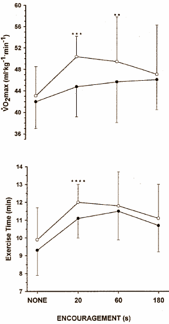
Cardio training & encouragement
The figure above is from a 2002 study published in the Journal of Sports Sciences. [J Sports Sci. 2002 Apr; 20(4): 345-52.] In this study sports scientists at Bloomsburg University of Pennsylvania got 28 students to run on a treadmill for a maximal exertion test, during which the researchers measured the students' maximal oxygen uptake.

The researchers repeated the test several times, and varied the frequency with which they encouraged the students [curve with 'white' circles]. For the highest frequency – every twenty seconds – not only maximal oxygen uptake was significantly higher, but also the length of time that the students managed to keep running.

So, it would seem, encouragement not only helps strength but also endurance.

Personality type
However, according to researchers at the University of Mississippi, encouragement only improves performance in people with Type-B personalities and not those with Type-A personalities. [Percept Mot Skills. 1997 Apr;84(2):507-12.]

According to the cardiologists Meyer Friedman and Mike Jordan, Type-A personalities are ambitious hardworking people with a strong sense of duty, who are therefore more likely to contract cardiovascular disease.

Type-B personalities on the other hand are more relaxed people who don't work harder than is strictly necessary, and therefore suffer less from heart attacks.

According to the University of Mississippi researchers, Type-A personalities perform maximally, whether encouraged to do so or not, so words of encouragement only help people with less ambition.

Source:
Br J Sports Med. 1996 Sep; 30(3): 243-5.

More:
Imaginary training can replace the real thing 08.04.2012
Grit your teeth and you'll be stronger 04.06.2010
Increase your strength by watching your muscles at work 17.11.2009

Archives:
Endurance Training & Cardio Training
Resistance Training
Psychology


A straight posture makes difficult mental tasks easier Trend: combining cannabis with exercise Need more energy? Take a placebo!

A straight posture makes difficult mental tasks easier
Are you bad at maths, and do you have a mathematics exam? Or do you have to write an important letter, but are your literary skill not that good?

The secret to a healthy old age? Stay in control of your anger
Aging is inherent in losing people you love and giving up things that are important to you. The logical emotional consequences are sadness and anger.

Need more energy? Take a placebo!
And even if you are convinced that such a stupid psychological trick will not work for you, you can still benefit from it.