|
Will A-nor-anabolics replace SARMs?
No, the remarkable anabolic molecule that Manfred Wolff and Galal Zanati discovered in 1973 is not interesting for pharmacological bodybuilders. But chemists who invent non-detectable drugs for athletes? Or producers of 'supplements' who will no longer be able to put SARMs in their capsules? They may think otherwise.
A-nor-androstanes
Two weeks ago we wrote about 2-thia-A-nor-5-alpha-androstan, an A-nor-steroid with an anabolic effect. As far as we could tell, the production process for that molecule was too expensive to make 2-thia-A-nor-5-alpha-androstan interesting for the steroids market.
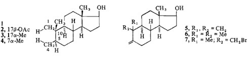
Wolff and Zanati, the inventors of 2-thia-A-nor-5-alpha-androstan, published an article in 1973 about a simplified version of 2-thia-A-nor-5-alpha-androstan that works just as well. In their article, they describe the synthesis and biological action of a series of simplified versions of 2-thia-A-nor-5-alpha-androstan.
Click on the figures below for larger versions.
Anabolic effects
Wolff and Zanati gave their A-nor-androstanes to rats, and then determined the androgenic and anabolic effect of their compounds. You can read here how they did that.
They discovered that their new molecules had an anabolic effect reminiscent of that of testosterone, but had fewer androgenic effects. The researchers achieved the most interesting results with compound 2. That is an acetate.
Explanation
In the 1960s, biochemists thought that anabolic steroids could only work if they could exchange electrons with the androgen receptor via their A-ring. Wolff and Zanati deduced from their experiments that electron exchange is not really necessary. You can make a molecule in which you have replaced the A-ring with a pair of methyl groups - as is the case with most A-nor-androstanes - and then the thing still works.
Sort of.
Source:
J Med Chem. 1973 Jan;16(1):90-1.
More:
A-nor-androgens: incomplete but effective versions of testosterone 03.02.2020
2,4-dioxa-3-thia-5-alpha-androstane, a forgotten eccentric anabolic from the seventies 05.0.2020
Archives:
Designer Steroids
Anabolic Steroids
 |
 |
 |
|
2-oxa-methyldienolone, a forgotten super steroid
Until 1969, steroid chemists considered methyltrenbolone to be the most powerful anabolic ever synthesized in a lab. But after two American researchers started experimenting with 2-oxa-methyldienolone, they changed their minds.
|
What is the anabolic effect of 6-keto-progesterone?
In the good old days, men were still real men. Men still did manly things, such as playing Quake and listening to Megadeth. If they were training with weights with a little pharmacological help, they wanted nothing to do with progesterone or progesterone-like substances.
|
What is steroid 36644-Ba?
In 1960, the pharmaceutical company CIBA started marketing the anabolic steroid methandrostenolone as Dianabol. In the years following this successful introduction, CIBA studied another anabolic steroid about which hardly anything is known.
|
|
|