ergo-log.com

Definition: "An ergogenic aid is any substance or phenomenon that enhances performance "

about us

/

contact

/

Ergo-Log

04.03.2021


Stim from orange 2S-hesperidin works immediately after intake

Stim from orange 2S-hesperidin works immediately after intake
Yesterday we wrote about the effects of 2S-hesperidin, a flavanone from oranges. Cyclists who take 500 milligrams of this substance daily for several weeks sprint faster. According to another study, which dates back to 2019, it is not necessary to use 2S-hesperidin for weeks. The orange stimulant improves sprint performance after the first time you take the substance.

Study
The researchers - the same researchers as the one we wrote about yesterday - got 15 semi-professional cyclists to perform four short sprints on two different occasions. The one time the subjects took a placebo for 5 hours before sprinting, the other time 500 milligrams of 2S-hesperidin.

The researchers used Cardiose, a product from their sponsor, HealthTech BioActives. [htba.com]

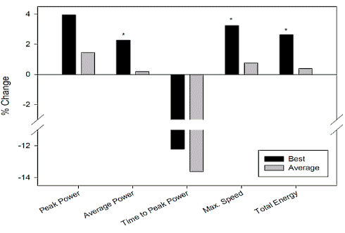
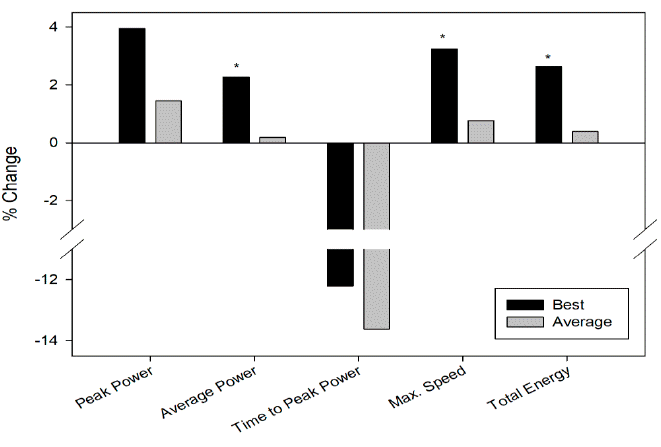
Results
The supplement had no statistically significant effect on average sprint performance, although there was a trend that performance improved after subjects took Cardiose.

The researchers did find significant results when they only looked at the best sprints. Then they saw that supplementation with Cardiose increased the subjects' power [say: the speed].

The figures below have been reduced. Click on them for a larger version.


Stim from orange 2S-hesperidin works immediately after intake


Stim from orange 2S-hesperidin works immediately after intake



Just a wild idea
In previously published studies, to which we have linked below, hesperidin improves the slimming effect of caffeine. Hesperidin itself also appears to be a weight loss supplement. And you can already feel where this is going.

Could you increase the performance-enhancing effect of 2S-hesperidin by co-supplementation with caffeine?

More coming soon.

Source:
Nutrients. 2019 Aug 14;11(8):1898.

More:
Half a gram of 2S-hesperidin speeds up your sprint 03.03.2021
Hesperidin stimulates formation of new muscle tissue 15.10.2012
Slimming supplement synephrine works fine with naringin and hesperidin 27.07.2011

Archives:
Endurance Supplements
Hesperidin


Beta-Alanine improves cyclists' final sprint and time trial performance Mangiferin, a nootropic for a faster sprint A few milligrams of nicotine makes athletes sprint faster

Beta-Alanine improves cyclists' final sprint and time trial performance
Beta-Alanine improves performance during short intensive three-minute bursts, and also during intensive efforts lasting six minutes.

Mangiferin, a nootropic for a faster sprint
Mangiferin is a xanthonoid that gets its name from the mango tree Mangifera indica. Mangiferin is present in the leaves of the tree.

A few milligrams of nicotine makes athletes sprint faster
You do not hear much about it, but quite a few athletes take a dose of nicotine for important training sessions and competitions.