ergo-log.com

Definition: "An ergogenic aid is any substance or phenomenon that enhances performance "

about us

/

contact

/

Ergo-Log

27.05.2018


PQQ improves mood & sleep

PQQ improves mood & sleep
If you do not sleep well and if your mood is low, supplementation with PQQ might be an option. This is suggested by a small and exploratory Japanese study, which researchers from PQQ manufacturer Mitsubishi published in Functional Foods in Health and Disease in 2012.

PQQ
PQQ is a vitamin-like substance, which increases the production of Nerve Growth Factor (NGF) in in vitro studies. [Biosci Biotechnol Biochem. 1993 Jul;57(7):1231-3.] NGF keeps brain cells vital and is mainly present in the hippocampus and the neocortex.

In the nineties, Japanese pharmacologists have experimented with PQQ analogues, hoping that these compounds that could serve as medicines against neurological disorders. [Biofactors. 1995-1996;5(3):139-46.]

In 2017, the EFSA deemed PQQ safe. [EFSA Journal 2017;15(11):5058.]

PQQ improves mood & sleep


Study
PQQ improves mood & sleep
The researchers, who worked at Niigata Research Laboratory - a department of the Mitsubishi Gas Chemical Company - wanted to know more about the psychological effects of PQQ, and gave 17 subjects 20 milligrams of PQQ daily for 8 weeks.

They didn't use a placebo group.

During the supplementation period, the researchers determined how well the subjects slept and how well they felt. They used standardized questionnaires like the Oguri-Shirakawa-Azumi Sleep Inventory (Middle Aged and Aged version) and the Profile of Mood States-Short Form.

Results
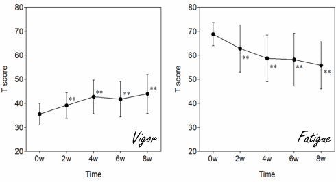
During the supplementation period, the subjects reported a statistically significant decrease in their feelings of anxiety, depression, fatigue, anger and confusion.

At the same time, their feeling of strength and energy [Vigor] increased.


PQQ improves mood & sleep

PQQ improves mood & sleep

PQQ improves mood & sleep



The use of PQQ also seemed to improve sleep. The subjects felt better rested when they woke up, reported better sleep onset, woke up less often at night, were less tired and and slept longer.


PQQ improves mood & sleep

PQQ improves mood & sleep



Conclusion
"This study is the first human clinical trial on the effect of PQQ on stress, fatigue, and sleep", the researchers write. "The results of this trial are encouraging and should be extended in a placebo-controlled study with a larger study population."

"The anti-oxidative capacity or mitochondrial biogenesis function of PQQ might be responsible for the outcomes in this study. However, the elucidation of the mode of action is needed."

Source:
Functional Foods in Health and Disease 2012, 2(8):307-24.

More:
How PQQ delays aging (and speeds up fat loss) 26.04.2016

Archives:
Cerebrogenics
Depression
Sleep


Melissa officinalis, a supplement for worriers Cannabidiol makes you less shy within three hours It's easier to say 'no' when you take an L-tryptophan supplement

Melissa officinalis, a supplement for worriers
We have plenty of comments on the way the study, which was published in the Mediterranean Journal of Nutrition and Metabolism, was carried out. But even so...

Cannabidiol makes you less shy within three hours
Shyness is a useful human characteristic that protects you from social blunders. But sometimes shyness is a nuisance - for example, if you have to have to speak in public, or in situations where you have to stand up for yourself.

It's easier to say 'no' when you take an L-tryptophan supplement
Do you think you should say 'no' more often and 'yes' less often? Because you get yourself into situations where others benefit more from your efforts or sacrifices while you draw the shorter straw?