ergo-log.com

Definition: "An ergogenic aid is any substance or phenomenon that enhances performance "

about us

/

contact

/

Ergo-Log

24.12.2023


Why organically grown spinach contains more anabolic ecdysteroids

Popeye, undoubtedly the strongest sailor in the world, owes his superior muscle strength to spinach. Everyone knows that. According to an in vitro study published in Plants in 2020, the formidable sailor can become even stronger if he'd use spinach grown without insecticides.


Why organically grown spinach contains more anabolic ecdysteroids


Study
Jonathan Gorelick, an Israeli plant scientist, measured the amount of ecdysterone in the leaves of spinach plants grown under various conditions. Ecdysterone is an ecdysteroid - and also an ecdysteroid with a relatively strong anabolic effect.

You can read more about the anabolic effect of ecdysterone here, here and here.

Spinach is a good source of ecdysteroids. 100 grams of dried spinach leaves may contain 10 milligrams of ecdysteroids. However, only part of this is ecdysterone - think of amounts of 0.1 - 0.7 milligrams per 100 grams.

Results
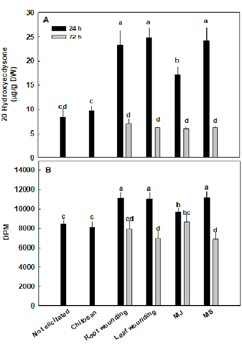
After Gorelick damaged the roots [Root wounding] or the leaves [Leaf wounding] of the spinach plants with scissors, he was able to extract more ecdysterone from the leaves.

When he exposed muscle cells in vitro, together with leucine, to extracts from spinach leaves, the muscle cells absorbed more leucine [DPM] if the spinach plants had been damaged 24 hours earlier. This indicates a greater anabolic effect.


Why organically grown spinach contains more anabolic ecdysteroids


Conclusion
The Israelis grew their spinach in a greenhouse. Although the increase in ecdysterone due to damage to the spinach plant is surprisingly large, the fact that the production of ecdysterone increases due to damage is to be expected.

Plants make ecdysteroids to protect themselves against caterpillars and other insects. Insects produce ecdysteroids as a kind of growth hormone. It causes them to molt or pupate. This causes them to stop eating the plant - and increases the chance that they will be eaten by birds or small mammals.

This also means that a spinach plant produces more ecdysterone as more natural damage occurs. Damage will occur more often if spinach grows in a vegetable garden or in a field than in a greenhouse. It will also occur more often if the grower does not use pesticides. The anabolic effect of organically grown spinach is probably greater than that of regularly grown spinach.

Source:
Plants (Basel). 2020 Jun 9;9(6):727.

More:
Eat spinach and quinoa and live longer 22.09.2019

Archives:
Plant Steroids
Ecdysteroids


Thanks to ecdysterone supplementation, strength athletes gain 2 kilos of muscle mass in 10 weeks Animal study suggests: low doses of ecdysteroids promote muscle building Anabolic effect of ecdysterone strong enough to put it on the doping list

Thanks to ecdysterone supplementation, strength athletes gain 2 kilos of muscle mass in 10 weeks
It seems that those old Russian studies hit the nail on the head. Ecdysterone, the most populair ecdysteroid in sports nutrition, does indeed have an anabolic effect.

Animal study suggests: low doses of ecdysteroids promote muscle building
The amounts of ecdysteroids in bodybuilding supplements are probably sufficient to stimulate growth of muscle mass, write endocrinologists at the University of Goettingen.

Anabolic effect of ecdysterone strong enough to put it on the doping list
German biochemists have worked out how ecdysterone makes muscle fibres bigger and stronger - and they think that this natural steroid can help the elderly to maintain muscle strength.