ergo-log.com

Definition: "An ergogenic aid is any substance or phenomenon that enhances performance "

about us

/

contact

/

Ergo-Log

24.12.2011


Optimists live longer

Optimists live longer
Optimism extends our lifespan, discovered Dutch researchers after following almost a thousand people aged between 65 and 85 for an average of nine years. Their study, which was published in 2004 in Archives of General Psychiatry, suggests that optimism reduces almost all causes of mortality.

Optimism & health
Many scientists have observed a relationship between optimism and good health. For example, there are studies which suggest that older men with an optimistic outlook on life are less likely to suffer from heart attacks than more sombre age-mates [Psychosom Med. 2001;63:910-916.], that optimistic men who undergo hear surgery have fewer complications than more pessimistic men [J Pers Soc Psychol. 1989 Dec;57(6):1024-40.] and that optimistic men with a new heart are more healthy than pessimistic owners of a new heart [Health Psychol. 1995 Jan;14(1):74-9.].

Study
On the basis of these studies you'd also expect that optimists live longer than pessimists. The researchers performed their study to find out whether this is actually the case.

They presented their elderly subjects with statements that they could agree or disagree with. The statements included "I often feel that life is full of promises", "I still have many goals to strive for" and "There are many moments of happiness in my life".

Results
Nine years after the subjects had completed the questionnaires it turned out that optimism reduced the likelihood of dying for both men and women.


Optimists live longer


Optimists live longer


Optimists live longer


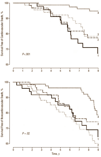
When the researchers separated out the results for death caused by cardiovascular disease and death by other causes, it emerged that optimism protected against both causes of mortality. The two figures above are for men, but the figures for women are comparable.

Conclusion
The researchers believe that one of the reasons that optimists live longer is that they think they are more likely to be rewarded for the efforts they make, like getting physical exercise and cultivating a healthy lifestyle such as not smoking and not drinking.

"An optimistic person may be more likely to have habits that enhance health or a recovery process", they write. "For example, they may be more compliant with their medical treatment regimens."

Source:
Arch Gen Psychiatry. 2004 Nov;61(11):1126-35.

More:
Belief in a just world extends life expectancy 27.11.2011
Forgive and live longer 28.10.2011
Hard workers live longer 12.06.2011

Archives:
Positive Psychology
Psychology
Longevity


Autonomous people live longer Optimism extends lifespan by 15 percent The secret to a healthy old age? Stay in control of your anger

Autonomous people live longer
If your life is a car, are you behind the wheel yourself? If you can answer that question truthfully with a heartfelt 'yes', then chances are you still have a long life ahead of you.

Optimism extends lifespan by 15 percent
Epidemiologists have known for years that optimists live longer than pessimists.

The secret to a healthy old age? Stay in control of your anger
Aging is inherent in losing people you love and giving up things that are important to you. The logical emotional consequences are sadness and anger.