ergo-log.com

Definition: "An ergogenic aid is any substance or phenomenon that enhances performance "

about us

/

contact

/

Ergo-Log

19.12.2018


Low-carbohydrate diet for powerlifters: weight loss without losing strength

When powerlifters and Olympic weightlifters switch to a low-carbohydrate diet, they lose a few pounds of body weight without compromising their muscular strength. Sports scientists at Australian Catholic University report this in the Journal of Strength and Conditioning Research.

Study
During 3 months the researchers had 14 powerlifters and weightlifters eat as they were used to. The athletes were allowed to eat as much as they wanted. Ad libitum, that's what it is called. The athletes consumed more than 250 grams of carbohydrates per day.


Low-carbohydrate diet for powerlifters: weight loss without losing strength


On another occasion, the subjects followed a low-carbohydrate diet for 3 months. In this case it meant that the athletes consumed less than 50 grams of carbohydrates per day.

Results
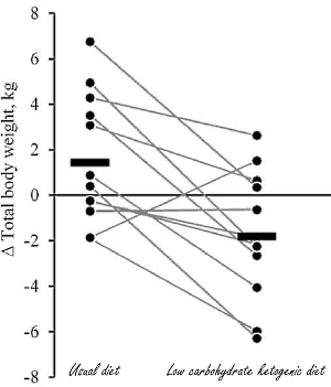
Compared to the usual diet, the powerlifters and weightlifters lost a significant 3.26 kilos due to the low-carbohydrate diet.


Low-carbohydrate diet for powerlifters: weight loss without losing strength


Among those lost kilos was 2.26 kilos of lean body mass. And this decrease was also statistically significant.


Low-carbohydrate diet for powerlifters: weight loss without losing strength


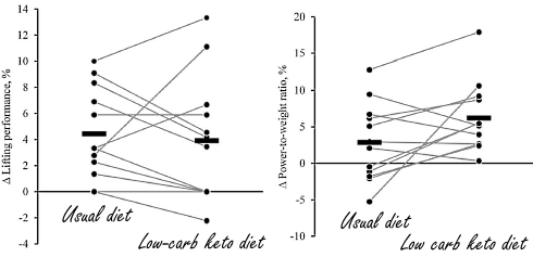
The subjects did not lose strength. Adjusted for their body weight, the subjects seemed to be getting a bit stronger. Incidentally, that effect was not significant, so the researchers keep in mind that the low-carbohydrate diet did not affect the sporting performance.


Low-carbohydrate diet for powerlifters: weight loss without losing strength

Low-carbohydrate diet for powerlifters: weight loss without losing strength


Conclusion
"Weight class sports often require athletes to transiently reduce body weight to make weight for competition", write the Australians. "Energy restriction and rapid weight loss strategies used by athletes are not universally effective for reducing weight and can be associated with a number of negative side effects."

"In this study, a 12-week ad libitum low-carbohydrate ketogenic diet reduces resulted in practically meaningful reductions in body weight without compromising training or performance and therefore seems safe and suitable to resistance trained athletes who desire lower body mass. We have thus demonstrated an alternate weightmaking strategy for weight class athletes involved in powerlifting and Olympic weightlifting."

"A low-carbohydrate ketogenic diet might also be applicable to other popular weight class sports including combat sports, but this needs to be explored in future studies."

"Coaches and athletes should consider using a low-carbohydrate ketogenic diet to achieve targeted weight reduction goals in favor of either energy restriction or rapid weight loss strategies."

Source:
J Strength Cond Res. 2018 Dec;32(12):3373-82.

More:
After adaptation phase the low-carb athlete changes into a fat incinerator 22.02.2018
Low carb ketogenic diet makes athletes lose 5 kilos while maintaining performance 16.02.2018
Is it better to combine a low-carb diet or a traditional slimming diet with strength training? 16.01.2017

Archives:
Nutrition & Strength Training
Low Carb Diet


Crash diet works better without carbs Achieve better performance on low-carb diet by using L-carnitine Endurance athletes prepare better for races with a low-carb diet

Crash diet works better without carbs
You need to lose a couple of kilos in a few weeks. The only solution: a strict diet with fewer than a thousand calories a day. You're guaranteed to lose fat - but unfortunately you'll lose muscle too.

Achieve better performance on low-carb diet by using L-carnitine
The human equivalent of the dose used would be 2-4 grams of L-carnitine daily.

Endurance athletes prepare better for races with a low-carb diet
Endurance athletes who are preparing for competitions may achieve better results if they cut their carbohydrate consumption right down, and replace the carbs with unsaturated fatty acids.