ergo-log.com

Definition: "An ergogenic aid is any substance or phenomenon that enhances performance "

about us

/

contact

/

Ergo-Log

02.08.2019


Lion's Mane as a life extender

Lion's Mane as a life extender
Supplements with an extract of the mushroom Hericium erinaceus - also known as Lion's Mane - may prolong life. This is suggested by animal studies published by the research department of Taiwanese manufacturer Grape King Bio [grapeking.com.tw] in PLos One.

Lion's Mane
Supplements with extracts from Lion's Mane have a nootropic effect in human studies and, according to animal studies, make athletes fitter. Those interesting ergogenic effects are the work of the erinacines in Lion's Mane.


Lion's Mane as a life extender


Lion's Mane as a life extender


Study
The researchers initially experimented with fruit flies. They mixed a mycelium extract of the mycelium from Lion's Mane through the growth medium of the flies, and saw that this made them live 32 percent longer. [Figure] [Second Figure]

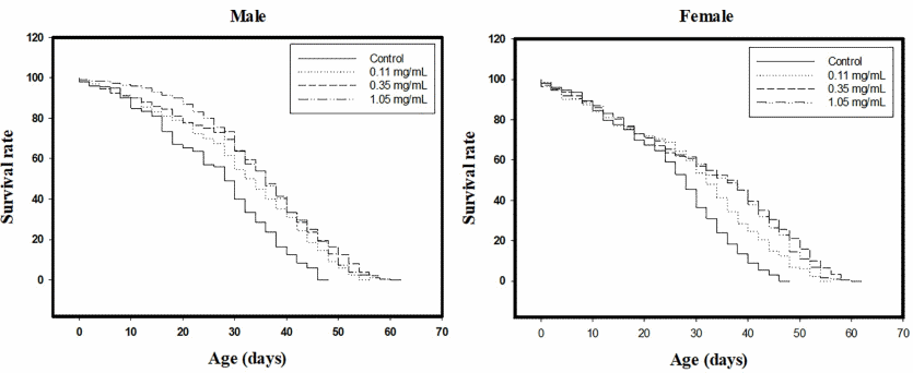
In a second series of experiments, the researchers gave Lion's Mane to mice for 13 weeks. To SAMP8 mice, to be precise, a strain of lab mouse which ages faster than other types of lab mouse.

If the mice in the experimental groups had been adult humans, they would have received 750, 1500 or 3000 milligrams of Lion's Mane extract daily.

Results
The mice that did not receive extracts lived for 13-14 months. The mice that received a low, medium or high dose of Lion's Mane extract daily lived an average of 15, 16 or 16 months respectively. So we are talking about an increase in the average lifespan of up to 23 percent.


Lion's Mane as a life extender


Lion's Mane as a life extender


The researchers don't waste many words on the possible mechanism of action of Lion's Mane, except that analysis of the liver of the mice showed that the extract reduced the concentration of TBARS [a marker for free radical activity], and at the same time increased the activity of endogenous antioxidants such as catalase, SOD and GPx.

Conclusion
"This study demonstrates that erinacine A-enriched Hericium erinaceus mycelia can be a candidate to prolong life expectancy by reducing oxidative stress and increasing antioxidant defenses", write the researchers. "However, further biochemical investigations of the mycelia constituents may be needed to assess the efficacy and the underlying mechanism of its action for the elongation of lifespan."

Source:
PLoS One. 2019 May 17;14(5):e0217226.

More:
Lion's Mane is a brain booster, says human study 01.03.2018
Lion's Mane, the memory mushroom that makes athletes fitter 05.12.2015

Archives:
Mushrooms
Longevity


Fisetin makes senescent cells disappear from the body Glycine supplementation extends life span N-3 fatty acids increase chance of successful aging

Fisetin makes senescent cells disappear from the body
Everyday foods such as tea, onions, apples and cucumbers contain fisetin, a flavonoid that is very similar to quercetin.

Glycine supplementation extends life span
Glycine rejuvenates old cells in test tubes, we wrote four years ago. However, that study is not the only indication that glycine may be an interesting longevity supplement.

N-3 fatty acids increase chance of successful aging
If you consume enough n-3 fatty acids, you increase the chance that you will reach a respectable age and at the same time remain free of cancer and cardiovascular diseases.