ergo-log.com

Definition: "An ergogenic aid is any substance or phenomenon that enhances performance "

about us

/

contact

/

Ergo-Log

18.10.2019


L-Theanine, the complete stress buster

L-Theanine, the complete stress buster
You are healthy, but you have more stress than you like. You do not sleep well, your brain does not run as smoothly as it should and you feel a bit gloomy every now and then. Supplementation with the amino acid L-theanine can alleviate all those stress-related symptoms, Japanese neurologists report in Nutrients.

Study
For 4 weeks, the researchers gave 30 healthy test subjects aged 20-69 200 mgs of L-theanine every day. The reserachers used a product from their sponsor Taiyo Kagaku, which markets L-theanine as Suntheanine.

On another occasion, the subjects took a placebo for 4 weeks.

The Japanese tested the test subjects before and after the supplementation period.

Results
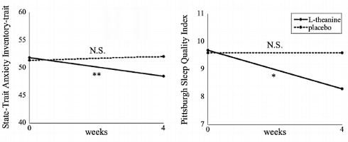
Supplementation with L-theanine reduced feelings of anxiety [bottom left], and also reduced the severity of sleep problems reported by the subjects [bottom right].


L-Theanine, the complete stress buster

L-Theanine, the complete stress buster



The supplement also reduced feelings of depression. You see that above.

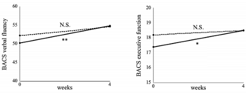
The researchers tested the cognitive abilities of the test subjects before and after the administration period. For example, they had the test subjects name as many words as possible in a short time. The more words test subjects can come up with and pronounce, the better the language centers of their brains work. You see at the bottom left that L-theanine increased this verbal fluency.


L-Theanine, the complete stress buster



Cognitive abilities as a whole also increased due to supplementation [above right].

Mechanism
The researchers suspect that L-theanine works by modulating NMDA receptors in the brain. By activating that receptor at one time, parts of the brain can function better and mental performance improbes. However, L-theanine can also de-stimulate the NMDA receptor in other parts of the brain. This could explain the anti-stress effects of L-theanine.

Conclusion
"Stress-related symptom scores decreased and cognitive function scores improved after four weeks of L-theanine administration", the researchers summarize their findings. "L-theanine administration was safe and well complied with."

"Therefore, L-theanine may be a suitable nutraceutical ingredient for improving mental conditions in a healthy population."

Source:
Nutrients 2019, 11, 2362; doi:10.3390/nu11102362.

More:
Animal study: L-theanine, caffeine and sleep 10.10.2015
ADHD boys sleep better with L-theanine 31.08.2015

Archives:
Cerebrogenics
Amino Acids
L-Theanine


Fish oil reduces mental stress Humulus lupulus supplement combats depression, anxiety, and stress Echinacea keeps immune system up & running in times of severe stress

Fish oil reduces mental stress
In 2003, nutritionists at the University of Lausanne published the results of an experiment in which a three-week course of fish oil kept low the stress hormone levels of subjects exposed to exam stress.

Humulus lupulus supplement combats depression, anxiety, and stress
Supplementation with an extract of hops makes depressed, anxious or stressed people feel better within a few weeks.

Echinacea keeps immune system up & running in times of severe stress
Stress is disastrous for your immune system. But maybe not if you use Echinacea supplements, suggests this Korean animal study.