ergo-log.com

Definition: "An ergogenic aid is any substance or phenomenon that enhances performance "

about us

/

contact

/

Ergo-Log

17.11.2014


Hyaluronic Acid supplements restore moisture balance in dry skin

If people with a dry skin take 120-140 mg hyaluronic acid daily they can expect to see improvements in their skin within several weeks. And if they stop taking the supplements, the positive effects will continue for at least two weeks, write Japanese researchers in Nutrition Journal.

Hyabest
To set the record straight from the start: the researchers were working at the R&D department at the Japanese Kewpie Corporation. Kewpie manufactures Hyabest, a supplement containing hyaluronic acid.

Hyaluronic acid is known outside Asia primarily as an ingredient in supplements that offer joint protection, but the same hyaluronic acid is also a cosmeceutical.

There is a reasonable amount of evidence available that shows that hyaluronic acid has a positive cosmetic effect, not only from cell and animal studies, but also from a human study, which appeared in Japanese scientific media. The publication in Nutrition Journal is intended to spread readership of the studies outside Japan. And of course most of the studies – you guessed it – were funded and carried out by Kewpie.

Hyaluronic Acid
Hyaluronic acid is a metabolite of glucosamine. Or of N-acetyl-D-glucosamine really. If you take glucosamine supplements, only a small amount is converted into hyaluronic acid.


Hyaluronic Acid supplements restore moisture balance in dry skin


Hyaluronic acid has a lubricant effect in joints. It is also present in the skin, where it has a softening effect. As we age, the amount of hyaluronic acid in the body decreases, and the more our skin is exposed to UV radiation, the faster this process goes.

Studies
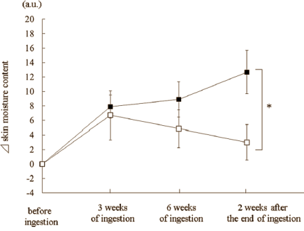
In 2007 researchers at Kewpie published a study [Aesthe Derma 2007, 17:33–39.] in which they gave two dozen women with dry skin 120 mg hyaluronic acid daily for six weeks. The moisture content of their skin improved as the curve with solid squares below shows.

White squares = placebo group.


Hyaluronic Acid supplements restore moisture balance in dry skin


Hyaluronic Acid supplements restore moisture balance in dry skin


In 2009 the same researchers published a similar study [J New Rem & Clin 2009, 58(8): 143–155.], in which they looked at what happened to the skin's moisture balance after the women had stopped taking the supplement. The figure above shows that the positive effects of hyaluronic acid actually increased in the two weeks after the last intake.

Source:
Nutr J. 2014 Jul 11;13:70.

More:
Five cups of green tea daily rejuvenates skin 10.09.2014
Hormone factor in Royal Jelly keeps skin young 25.07.2013
DHEA cream stops skin from aging 21.06.2013

Archives:
Beautyceuticals


More almonds, fewer wrinkles A capsule of MSM per day reduces wrinkles in a few months Aging without wrinkles due to vitamin C supplementation

More almonds, fewer wrinkles
Four months after women started eating two hands of almonds every day, the wrinkles in their face were reduced by around 10 percent after 4 months.

A capsule of MSM per day reduces wrinkles in a few months
American researchers experimented with people aged 35-69, and found that even with a modest intake of 1 gram of MSM per day, facial wrinkles get smaller and can even disappear completely.

Aging without wrinkles due to vitamin C supplementation
You only have to take 400 to 1600 milligrams of vitamin C every day. In SKH-1 mice this strategy seems to work.