ergo-log.com

Definition: "An ergogenic aid is any substance or phenomenon that enhances performance "

about us

/

contact

/

Ergo-Log

20.12.2012


Getting enough sleep gives better diet results

Getting enough sleep gives better diet results
Your fat percentage is too high; you reduce your calorie intake and you hope and pray that you retain lean body mass and lose as much fat as possible. According to researchers at the University of Chicago, the success of this strategy depends on the number of hours you sleep each day.

Sleep, calories & body composition
The link between obesity and sleep is nothing new. Epidemiological studies have shown that people who sleep little put on weight twice as fast as people who get eight hours' sleep a night, [Am J Epidemiol. 2006 Nov 15;164(10):947-54.] and small studies have shown that for every hour of sleep you get in a period of 24 hours your fat percentage is three percent lower.

Lack of sleep stimulates appetite. Not getting enough shuteye lowers the production of appetite suppressant hormones such as leptin, and it stimulates the production of appetite boosting hormones such as ghrelin.

Don't underestimate the effect of lack of sleep on energy intake. In 2010 French researchers published the results of an experiment in which they let students sleep in a laboratory for about four hours a night. [Am J Clin Nutr. 2010 Jun; 91(6): 1550-9.] As a result of the lack of sleep the students spontaneously ate 560 kcal more than they would have eaten after eight hours of sleep a night. That would mean that in less than two weeks the students could have gained a kilogram of fat.

Study
The Chicago research shows that it's not just an unhealthily large appetite that affects dieters with a sleep deficiency. The researchers did a small experiment with ten slightly overweight adults. The subjects followed a diet twice in a laboratory where the researchers were able to control the amount the subjects ate.

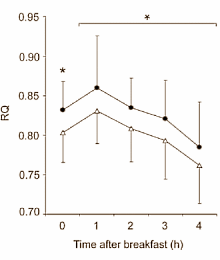
During their two-week stay in the lab the subjects were given ninety percent of the kilocalories they would burn if they got no exercise. On one occasion the subjects were allowed to sleep for 8.5 hours a night [open circles] and on the other occasion they were allowed to sleep for 5.5 hours [black circles].

Results
At the end of each of the two-week periods the subjects had lost the same amount of weight, the researchers discovered. But there were statistically significant differences in the effect on the subjects' body composition. When the subjects were only allowed to sleep for 5.5 hours, they lost 55 percent less fat mass and 60 percent more lean body mass.


Getting enough sleep gives better diet results


Getting enough sleep gives better diet results


Getting enough sleep gives better diet results


The combination of a calorie-reduced diet and too little sleep [TIB-5.5h] boosts levels of the appetite hormone ghrelin and lowers the level of the pep hormone nor-epinephrine.

The latter effect may explain the figure above. The respiratory quotient [RQ] is higher in the subjects when they have too little sleep [black circles] than when they get enough sleep [open circles]. That means that a shortage of sleep reduces the amount of fat that the body burns.

Conclusion
"These results highlight the importance of human sleep for the maintenance of fat-free body mass during periods of reduced energy intake and raise the possibility that insufficient sleep may compromise multiple factors that contribute to the efficacy of and adherence to dietary energy-restriction strategies for metabolic risk reduction", write the researchers.

Source:
Ann Intern Med. 2010 Oct 5;153(7):435-41.

More:
Too little sleep breaks up your muscles 31.03.2012
Little sleep, fat midriff 22.01.2011
An hour more sleep reduces fat percentage by three percent 23.02.2009

Archives:
Weight Loss
Sleep


More sleep = less sugars in your diet Burn more calories, sleep better How sleep makes men more masculine

More sleep = less sugars in your diet
Improving your sleep equals improving your diet.

Burn more calories, sleep better
Men in their twenties and thirties sleep better the more energy they use up during the day, discovered Dutch researchers.

How sleep makes men more masculine
Just before and during your sleep the body releases the hormone melatonin. Melatonin probably inhibits the conversion of testosterone into estradiol.