ergo-log.com

Definition: "An ergogenic aid is any substance or phenomenon that enhances performance "

about us

/

contact

/

Ergo-Log

02.04.2021


Fish oil allows your eyes to get used to the dark faster

Do your eyes have trouble switching from light to dark? Can you not see well in a dark environment if you have just been in a well-lit environment? Maybe fish oil capsules will help.

Fish oil allows your eyes to get used to the dark faster

Study
Researchers from Loughborough University experimented with 19 test subjects, who had to sit in a dark room for half an hour on three occasions. When the half hour was over, the subjects took a Crime-lite Eye out of their pockets and determined the light intensity at which they could read the numbers on it.

The Crime-lite Eye is a small device that tells you how well your eyes are adapted to the dark. When you switch it on, it shows the numbers 1 to 20 successively on a screen.

Each time the numbers get a little brighter. 2 is slightly brighter than 1, 3 is slightly brighter than 2, and so on.


Fish oil allows your eyes to get used to the dark faster


Fish oil allows your eyes to get used to the dark faster
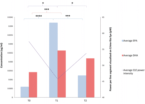
The subjects had to indicate at which light intensity they could read the numbers on the screen. On one occasion this happened under normal circumstances [T0], on the other time the subjects had taken 4 capsules of fish oil every day for 4 weeks [T1], and then again after 4 weeks in which the subjects had not used fish oil [T2].

Each capsule contained 780 milligrams of EPA and 260 milligrams of DHA.

Results
After 4 weeks of supplementation with fish oil, the concentration of omega-3 fatty acids in the blood of the subjects had increased and the subjects could see better in the dark. The blue line in the figure below shows at which light intensity the subjects could read the numbers on the Crime-lite Eye. The values are on the right Y-axis.


Fish oil allows your eyes to get used to the dark faster


Click on the figure for a larger version.

Conclusion
"The results indicate that taking fish oil supplements results in a significant change in fatty acid levels in blood alongside a significant change in dark adaptation capabilities," the researchers summarize.

Source:
Clin Exp Ophthalmol. 2021 Mar 30. doi: 10.1111/ceo.13925. Online ahead of print.

More:
Screen addiction making you sleep badly? Lutein helps 13.09.2017
The Horror Coach Chronicles| Push-ups cause burst blood vessel in retina 10.04.2011

Archives:
Fish Oil


Omega-3 fatty acids protect the cognitive abilities of over 60s EPA is an antidepressant Fish oil supplements improve testicular health

Omega-3 fatty acids protect the cognitive abilities of over 60s
Chinese epidemiologists from Qingdao University report this in Nutrition Journal.

EPA is an antidepressant
Curcumin may be just as effective an antidepressant as fluoxetine, we reported not long ago. Well, what curcumin can do, EPA can do too.

Fish oil supplements improve testicular health
Young men who take a fish oil supplement have larger testes and produce more semen than men who don't take fish oil supplements.