ergo-log.com

Definition: "An ergogenic aid is any substance or phenomenon that enhances performance "

about us

/

contact

/

Ergo-Log

19.01.2017


Combination of strength training and cardio: workout at the end of the day results in more endurance capacity and muscle growth

If you do strength training because you want to build muscle, then working out early in the evening is a better time than in the morning. We've posted links to studies that have shown this at the bottom of the page. And if you combine strength training with cardio training, early evening workouts also result in more muscle growth than morning workouts, report Finnish sports scientists in Applied Physiology, Nutrition and Metabolism.

Study
The researchers did an experiment with 42 male students, none of whom had done strength or endurance training in the past year. Most of the students had to train 2-5 times a week for a period of 24 weeks, doing both strength training and cardio training sessions. Ten participants did not train and functioned as the control group.

The researchers divided the other 32 participants into 4 groups.

mE+S Participants trained between 6.30 and 10.00 hrs. They started with cardio training and then did their resistance training.
mS+E Participants trained between 6.30 and 10.00 hrs. They started with strength training and then did their cardio training.
eE+S Participants trained between 16.30 and 20.00 hrs. They started with cardio training and then did their strength training.
eS+E Participants trained between 16.30 and 20.00 hrs. They started with resistance training and then did their cardio training.

Results
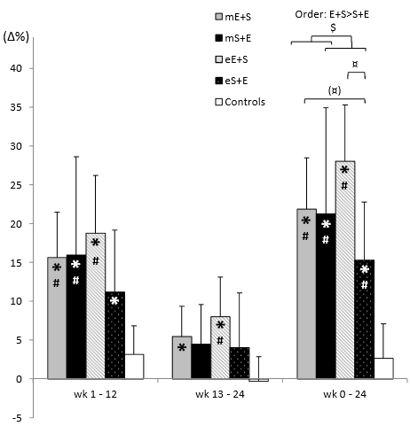
The figure below shows the increase in the vastus lateralis muscle that the researchers observed on scans. The participants who trained in the evenings built up more muscle mass than the participants who trained in the mornings. The order in which they did the two different types of workout made no difference. [That may be because the participants were untrained. Many studies with trained participants show that cardio training reduces the effects of strength training considerably.]


Combination of strength training and cardio: workout at the end of the day results in more endurance capacity and muscle growth



The eE+S group built up more muscle mass than the eS+E group, but the difference was not statistically significant.

The researchers also measured the participants' endurance capacity, and again working out later in the day turned out to be most effective - as long as the participants started with the cardio training and did the strength workout afterwards.


Combination of strength training and cardio: workout at the end of the day results in more endurance capacity and muscle growth



Conclusion
The effect of the timing of training is subtle, the researchers stress. The effects only become visible after training for about three months.

Source:
Appl Physiol Nutr Metab. 2016 Dec;41(12):1285-1294.

More:
Strength training in the afternoon slightly more effective than in the morning 11.12.2009
Training in the evening gives you more muscles, more definition 19.11.2009
Bodybuilders who train in the evening grow faster 22.03.2009

Archives:
Endurance & Cardio Training
Strength Training