ergo-log.com

Definition: "An ergogenic aid is any substance or phenomenon that enhances performance "

about us

/

contact

/

Ergo-Log

26.01.2017


Cardio and strength training: not on the same day

There are 1001 arguments to do both strength training and cardio training, but it's also crystal clear that the types of training can compromise each other. Finnish sports scientists at the University of Jyvaskyla discovered that both types of training go best together if you do them on different days.

Study
The Finns divided 102 participants aged 18-40 into three groups. All groups did supervised strength and cardio training for a period of 24 weeks. The researchers also made sure that the training volume was identical in all groups.

The SE group trained 2-3 times a week and combined strength and cardio training in the same workout. The participants did strength training first and then cardio.

The ES group trained 2-3 times a week and combined strength and cardio training in the same workout. The participants did cardio first and then strength training.

The DD group trained 4-5 times a week and did strength and cardio training on different days.

Results
The maximal strength of the participants in all three groups increased by about the same amount. The fat free mass – in other words muscle mass – increased a little more in the participants who did their strength and cardio training sessions on different days, but the difference was not statistically significant.


Cardio and strength training: not on the same day



The fat mass only decreased by a significant amount in the participants who did their strength and cardio workouts on different days.


Cardio and strength training: not on the same day



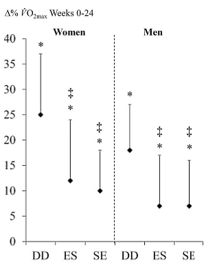
The most important factor in fitness and endurance capacity is the maximal amount of oxygen your body can absorb - the VO2max as sports scientists call it. The participants whose VO2max increased the most were the ones who did their strength training and cardio training on different days.


Cardio and strength training: not on the same day



Conclusion
"The present study showed that all of the three modes of combined strength and endurance training were effective in increasing maximal strength and endurance performance as well as lean body mass in healthy individuals following 24 weeks of combined strength and endurance training," the researchers wrote. "However, the increases in endurance performance were larger in magnitude when strength and endurance were performed on different days in comparison with that produced by same-session training."

"Furthermore, body fat mass was decreased only following combined strength and endurance training performed on different days."

"While the mechanism for this phenomenon was beyond the scope of the present study, separating strength and endurance training into more frequent sessions performed on different days seems to be a valid option for healthy adults who wish to simultaneously optimize body composition and improve physical fitness."

Source:
Appl Physiol Nutr Metab. 2016 Jul;41(7):767-74.

More:
Combination of strength training and cardio: workout at the end of the day results in more endurance capacity and muscle growth 19.01.2017
Cardio training boosts the effect of strength training on muscle growth, sometimes 22.05.2016
False alarm about combining interval training and strength training 28.04.2016

Archives:
Endurance Training & Cardio Training
Strength Training