ergo-log.com

Definition: "An ergogenic aid is any substance or phenomenon that enhances performance "

about us

/

contact

/

Ergo-Log

06.04.2017


Betalains, the red colour in beetroot and amaranth, make triathletes faster

Triathletes who take a daily 100 mg of a beetroot extract that contains lots of betalains perform better. American sports scientists at the University of California Davis write about this in Applied Physiology Nutrition and Metabolism. The performance enhancing effect of the betalains is already visible within a week.

Study

Betalains, the red colour in beetroot and amaranth, make triathletes faster
The researchers gave 22 triathletes two 50 g capsules of beetroot extract with betalains every day for six days. Betalains are a group of plant-based compounds found in red fruit and vegetables such as amaranth and red beetroot. An important betalain is betanin, of which the structural formula is shown above.

The researchers used an extract that was produced by the American company FutureCeuticals, the sponsor of the study. [futureceuticals.com] Each 50 mg capsule contained 12.5 mg betalains.

The triathletes took one capsule 30 minutes before breakfast and the other 30 minutes before their evening meal.

The researchers repeated the experiment on another occasion, but gave the subjects a placebo. [Perhaps we're nit-picking, but surely betalains colour the urine red? Then you'd know as a participant immediately whether you've had a placebo or something containing an active ingredient?]

Results
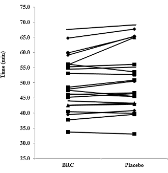
On day 7, after they had taken another capsule, the triathletes first had to cycle at moderate intensity for 40 minutes and then run 10 kilometres. When the triathletes had taken betalains [BRC] they covered the distance in an average time of 49.5 minutes. After taking a placebo their time was 50.8 minutes.


Betalains, the red colour in beetroot and amaranth, make triathletes faster


Betalains, the red colour in beetroot and amaranth, make triathletes faster



The researchers found less creatine kinase [CK] in the athletes' blood after the 10 km run when they'd taken betalains. So it seems that betalains not only enhance endurance performance, but also reduce muscle damage during exercise.

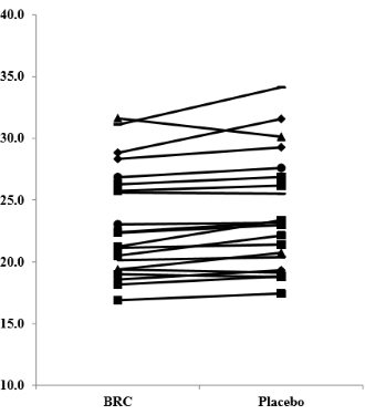
On day 8 the participants had to run another 5 kilometres. Once again, the triathletes performed better when they’d been given betalains - this time they did the 5 km in an average of 23.2 minutes. When they'd taken a placebo their time was 23.9 minutes.


Betalains, the red colour in beetroot and amaranth, make triathletes faster



Conclusion
"We conclude that betalain-rich concentrate supplementation can improve exercise performance and recovery in healthy, competitive triathletes," the researchers wrote.

Source:
Appl Physiol Nutr Metab. 2017 Feb;42(2):166-72.

More:
Betalains in beetroot ease painful joints 02.11.2015

Archives:
Endurance Supplements
Beetroot


Caffeine, not pseudoephedrine, makes triathletes faster Optimal carb dose for cyclists is 78 g per hour Low-carb diet gives endurance athletes more stamina

Caffeine, not pseudoephedrine, makes triathletes faster
Caffeine doesn't appear on the doping list, pseudoephedrine, on the other hand, does. Endurance athletes who think that illegal pseudo-ephedrine will enhance their performance better than legal caffeine are making a big mistake.

Optimal carb dose for cyclists is 78 g per hour
Higher doses don't work better but are worse, according to a human study carried out in the US and funded by Gatorade.

Low-carb diet gives endurance athletes more stamina
Endurance sports gurus are still singing the praises of extremely high carbohydrate eating patterns, but studies suggest that a low-carb diet may also be interesting for endurance athletes.