ergo-log.com

Definition: "An ergogenic aid is any substance or phenomenon that enhances performance "

about us

/

contact

/

Ergo-Log

14.01.2017


Athletes perform better after six days of spinach, collard greens or beetroot

Athletes perform better after six days of spinach, collard greens or beetroot
After eating beetroot, spinach or collard greens for six days consecutively, athletes perform better. It's the nitrate these vegetables contain that helps them to perform high-intensity activities for longer, write Italian physiologists in Nutrients.

Study
The researchers measured the performance capacity of 7 active male students on two separate occasions. During the six days prior to one of these occasions the students ate foods with a normal amount of nitrate. During the six days before the other occasion, the students ate foods with large amounts of natural nitrate, like spinach and collard greens.

The nitrate-rich vegetables that the researchers chose trebled the amount of nitrate in the diet. HND stands for high nitrate diet, CD for control diet.


Athletes perform better after six days of spinach, collard greens or beetroot



Results
The high nitrate diet increased the concentration of nitrate and nitrite in the students' blood.


Athletes perform better after six days of spinach, collard greens or beetroot



After six days on a nitrate-rich diet the students used less oxygen when cycling at moderately intensity.


Athletes perform better after six days of spinach, collard greens or beetroot


Athletes perform better after six days of spinach, collard greens or beetroot



The researchers got the students to do cycle sprints of 6 seconds, 5 times consecutively with rests of 24 seconds between, and measured the number of Watts the students were able to generate. The nitrate diet resulted in the students sprint capacity staying at the same level.

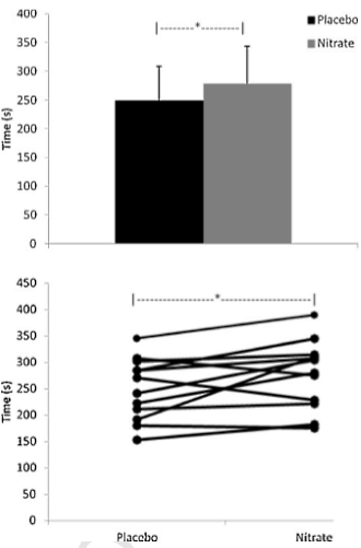
During another test the students were put on an isometric leg extension machine where they had to use all their force in their legs to push a bar/handle that didn't move but that did register the force the students used.

Each rep lasted 3.5 seconds, and the participants rested for 10 seconds between each rep. The set ended when the force with which the students pushed had decreased by more than 25 percent in relation to their maximal force [for the readers who know: the MVT]. The figure below shows that the nitrate-rich diet increased the number of reps.


Athletes perform better after six days of spinach, collard greens or beetroot



Conclusion
"This study has shown that the ingestion of nitrate-rich foods can increase plasma nitrate/nitrite concentrations and improve exercise performance," the researchers wrote. "These results suggest that a high-nitrate diet could be a feasible strategy for increasing plasma nitrate/nitrite levels and improving moderate intensity aerobic or high-intensity intermittent performance."

Source:
Nutrients. 2016 Aug 31;8(9).

More:
Spinach and rucola work just as well as beetroot for athletes 15.07.2016
Bodybuilders manage twenty percent more reps with beetroot juice 08.06.2016
Beetroot concentrate makes team sport players faster 15.11.2013

Archives:
Nutrition & Strength Training
Nitric Oxide [NO]
Beetroot


Your mental arithmetic improves after a bottle of beet root Short of oxygen? Beetroot juice helps Athletes who use antibacterial mouthwash won't get anything from beetroot

Your mental arithmetic improves after a bottle of beet root
Foods with natural nitrates = smart drugs.

Short of oxygen? Beetroot juice helps
In sports where you sometimes run short of breath, like diving, but possibly also in other sports where oxygen uptake can be a limiting factor, supplementation with beetroot juice can have a performance enhancing effect.

Athletes who use antibacterial mouthwash won't get anything from beetroot
Products like Listerine and Corsodyl reduce the bacteria population in your mouth. This can reduce mouth infections, but may make beetroot nitrate-rich effectless.