ergo-log.com

Definition: "An ergogenic aid is any substance or phenomenon that enhances performance "

about us

/

contact

/

Ergo-Log

03.04.2012


The animals around us are getting fatter

The obesity epidemic is not just confined to Homo sapiens. According to the biostatistician Yann Klimentidis of the University of Alabama at Birmingham, rhesus monkeys, meerkats, blue monkeys, chimpanzees, mice, rats, cats and dogs are all getting fatter and fatter. So maybe our increasing girth is not due to constantly eating too many Pringles in front of the tube, suggests Klimentidis. Maybe there's more at hand.


The animals around us are getting fatter


The obesity explosion
We don't know why we keep getting fatter. Not really.

Of course, we get fatter if we consume more calories than we burn. Yes, there's more junk food available than before, and yes, we get less exercise than ever. But two hundred years ago there was also a small group of rich people, who led a sedentary life and could afford all kinds of calorie bombs. And in this small group obesity was a rarity. The members of this elitist group did manage to regulate their energy intake in accordance with their energy expenditure.

So why can't we do this any more? Some researchers want to know why. Are we being exposed to something we are unaware of? A chemical substance that's destabilising our brains? A virus that forces us to eat more? Is there an environmental factor which prevents us from being able to regulate our energy intake?

Study
If there is something wrong in our environment, reasoned Klimenditis, then you'd notice it first in the animals living close to us. If they get sick, we should be getting worried. [Environ Health Perspect. 1999 Apr;107(4):309-15.] If we are getting fatter due to reasons other than eating too much and moving too little, then the animals in our surroundings would also be getting fatter, was Klimentidis' argument.


The animals around us are getting fatter


So he gathered data on the bodyweight of adult animals from previous studies in which various mammal populations had been monitored for at least ten years. He focused on animals that live in close proximity to humans: dogs and cats, lab animals, but also animals that live in our sewers, cellars and gardens, like rats. Klimenditis managed to gather data on 24 populations.

Results
All populations became fatter over time, Klimenditis discovered. There were no exceptions.

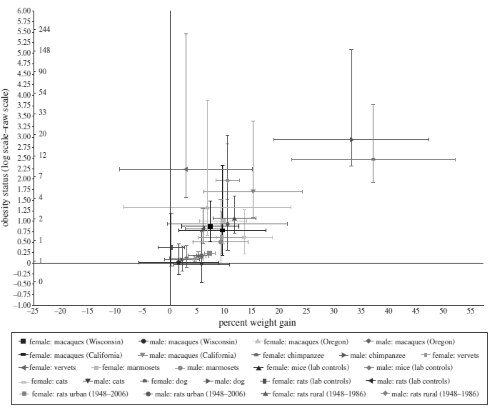
In macaques the likelihood of obesity [morbid overweight] rose by 114 percent; in chimpanzees the likelihood rose by 1100-1800 percent; in blue monkeys by 83-834 percent; in meerkats by 170 percent.


De dieren in onze omgeving worden steeds dikker


Even the lab mice that toxicologists use for experiments are getting fatter. Their bodyweight has increased by 11 percent a decade in recent years.

The data presented above concerns laboratory animals. But Klimenditis found a similar fattening trend in the animals that live under less controlled conditions. Dogs and cats also become a few percent fatter each year according to his data. While the rats in our surroundings receive less tender loving care, their bodyweight is also increasing according to biologists' studies of captured examples.

The figure below summarises the findings. It shows the increase in the chance of obesity and the increase in bodyweight per decade per population. If you click on it, you'll see a bigger representation.


The animals around us are getting fatter


The chance that these similar trends are a coincidence is zero, the researchers say.

Other studies
Other researchers have also reported that animals are getting fatter: horses that are at pasture for example [Journal of Animal Physiology and Animal Nutrition. 92(2): 222-222.], or rats that are used for research on carcinogens and have been fed the same diet for years [Hum Exp Toxicol. 1993 Mar;12(2):87-98.].

There's definitely something going on. There are unknown factors at work in the overweight explosion. Substances that interfere with hormone balances? A virus? Bacteria? Kleminditis has nothing to say on this.

Source:
Proc Biol Sci. 2011 Jun 7;278(1712):1626-32.

More:
PFASs - the hidden chemicals in drinking water and foodstuffs that make the world fat 10.03.2018
Crisps, potatoes and soft drinks are the most fattening 29.11.2012
Is GM corn making Americans fat? 06.06.2012

Archives:
Weight Loss


Sweetener sucralose reduces insulin sensitivity | Human study Meta-study: lower vitamin D levels, more excess weight How ultra processed foods make you fat

Sweetener sucralose reduces insulin sensitivity | Human study
Sucralose, a synthetic sweetener that is a thousand times sweeter than sugar, causes symptoms in healthy people that resemble a pre-stage of type-2 diabetes.

Meta-study: lower vitamin D levels, more excess weight
If there is sufficient vitamin D in your blood, your chance of being overweight is smaller than if the concentration of vitamin D in your blood is sub-optimal.

How ultra processed foods make you fat
If you replace all non-intensively processed foods in your diet with ready-made ultra processed foods, you will eat 500 kilocalories more every day than if you only eat non-intensively processed foods.