ergo-log.com

Definition: "An ergogenic aid is any substance or phenomenon that enhances performance "

about us

/

contact

/

Ergo-Log

13.06.2018


Alkaline diet improves high-intensity sports performance

For athletes, supplementation with sodium bicarbonate is an effective way to perform better during high-intensity exercise bouts. But sodium bicarbonate supplementation is not without gastrointestinal side effects, and frequent use may not be healthy. German sports scientists, associated with Ruhr-University Bochum, found an alternative. If athletes follow an alkaline diet for four days, they experience the same improvement of athletic performance as after supplementation with bicarbonate.

Alkaline diet
No, the alkaline diet is not nonsense. There is a simple formula which allows you to calculate the potential renal acid load [PRAL] of foods.


Alkaline diet improves high-intensity sports performance



Meat, eggs, cheese and cereals have a high PRAL, potatoes, vegetables and fruit have a low PRAL. An alkaline diet contains many foods with a low PRAL, and few foods with a high PRAL.

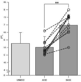
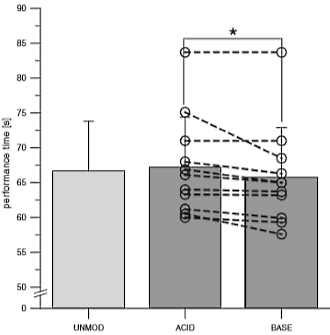
The researchers experimented with 16 young and volunteers with an active lifestyle. The researchers had the participants run a 400 meter sprint on 3 different occasions.

During the 4 days that preceded one occasion the athletes had eaten as they were used to [UNMOD]. Another time the subjects sprinted after having followed an acidifying diet for 4 days [ACID], and yet another time the sprint was preceded by a 4-day alkaline diet [BASE].

Results
If they had followed an alkaline diet, there was more lactic acid [La] in their blood just after the subjects had covered the 400 meters than if those subjects had followed an acid diet.


Alkaline diet improves high-intensity sports performance


Alkaline diet improves high-intensity sports performance



After 4 days of alkaline diet, the pH value of the blood after 400 meters just higher than after a 4-day acid diet. The higher the pH value of the blood, the lower the acidification. This implies that by using an alkaline diet, muscles can sustain high-intensity efforts a little longer.

Compared with the acidifying diet, the alkaline diet made the participants 2.3 percent faster. That amounts to one and a half seconds.


Alkaline diet improves high-intensity sports performance



Conclusion
"The present study was the first to examine the effects of a short-term alkalizing or acidizing diet on 400-m sprint performance in moderately trained participants", write the Germans. "Our data suggest that it is possible to improve 400-m performance by consuming alkalizing (low-PRAL) natural foods and beverages, without the ingestion of dietary supplements like NaHCO3 or sodium citrate."

"Additionally, we found higher blood lactate but unchanged blood pH values for the alkalizing trial compared with the acidizing trial. Thus, an alkalizing diet may be an easy and natural way to enhance the tolerance towards exercise-induced alkalosis for athletes without the necessity of taking artificial dietary supplements."

Source:
J Int Soc Sports Nutr. 2018 May 31;15(1):25.

More:
After adaptation phase the low-carb athlete changes into a fat incinerator 22.02.2018
Athletes perform better after six days of spinach, collard greens or beetroot 14.01.2017
Gluten-free diet has no effect on athletic performance 29.10.2015

Archives:
Nutrition & Endurance Training
Sodium Bicarbonate


Endurance athletes perform better if they avoid these foods Endurance athletes prepare better for races with a low-carb diet Endurance athletes perform better if they eat almonds instead of cookies

Endurance athletes perform better if they avoid these foods
Onions, soya, beans and pistachio nuts are all healthy, but endurance athletes are better off avoiding them in the week before a race, according to sports scientist David Nieman of Appalachian State University.

Endurance athletes prepare better for races with a low-carb diet
Endurance athletes who are preparing for competitions may achieve better results if they cut their carbohydrate consumption right down, and replace the carbs with unsaturated fatty acids.

Endurance athletes perform better if they eat almonds instead of cookies
Human data from China.