ergo-log.com

Definition: "An ergogenic aid is any substance or phenomenon that enhances performance "

about us

/

contact

/

Ergo-Log

14.12.2017


A high-intensity workout that's not too unpleasant

Short, high-intensity training sessions can produce just as good results as workouts that take an hour - no wonder they're so popular in fitness-land. Most people don't enjoy exercise, so the shorter they have to train, the better. But high-intensity workouts are also extremely unpleasant, and as a result many people give up after a couple of times. American sports scientists may have found a solution.

Study

Most short high-intensit workouts gradually build up intensity, the most intensive exertion only taking place in the last phase of the workout. Zachary Zenko, a sports scientist at Duke University, wondered what would happened if you turn this sequence around.

Zenko got 22 participants to do a traditional, 15-minute high-intensity workout on a bike – a Lode Corival Recumbent [see below] – and another 24 participants to do a workout with a different sequence.


A high-intensity workout that's not too unpleasant


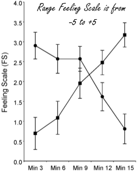
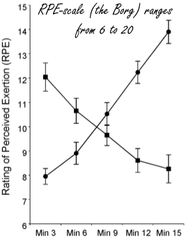
The participants who did the traditional workout had to pedal a little harder each successive minute, until they reached 120 percent of their ventilatory threshold in the last minute. The participants who did the alternative workout started at high intensity, and gradually decreased how hard they pedalled. Both groups completed the same amount of exertion.

Results
During the traditional workout the participants' heart rate increased and the workout became increasingly tiring and more and more unpleasant. The alternative workout had the opposite effect.


A high-intensity workout that's not too unpleasant


A high-intensity workout that's not too unpleasant


A high-intensity workout that's not too unpleasant


The participants reported that they had found the workout pretty pleasant, not only 15 minutes after finishing it, but also a day and a week later too. This was not the case after the traditional workout. At the end of the alternative workout the participants also looked forward to doing more training sessions than those who had done the traditional high-intensity workout.


A high-intensity workout that's not too unpleasant


Conclusion
A workout experience is less unpleasant if the high-intensity elements are done during the first phase of the workout. This type of training is more likely to motivate athletes, and reduce the likelihood of them stopping altogether.

But of course, there are problems... Traditional workout sequences are more unpleasant and less motivating, but they do reduce the chance of injury.

It will be a challenge for trainers and coaches to bring Zenko's insights into practice.

Source:
J Sport Exerc Psychol. 2016 Apr;38(2):149-59.

More:
Why intensive cardio training usually doesn't work 11.06.2016
Cardio workout is pleasanter if you decide yourself how hard you train 17.03.2015
Training is more fun with a bottle of water 20.01.2009

Archives:
Endurance Training & Cardio Training
Psychology


You'll be most motivated to do strength training when you chose the weights yourself High-intensity cardio too much for obese people Don't feel like training? Caffeine makes exercise more enjoyable

You'll be most motivated to do strength training when you chose the weights yourself
Study by sports scientist and trainer Brian Focht at Ohio State University.

High-intensity cardio too much for obese people
They are wildly popular, the fast but high-intensity fitness training sessions that gyms advertise to lure new members. The promise of a fitter, slimmer you in no time at all still works. But...

Don't feel like training? Caffeine makes exercise more enjoyable
People who want to do sports, but find exertion unpleasant, can probably benefit from a high dose of caffeine.