ergo-log.com

Definition: "An ergogenic aid is any substance or phenomenon that enhances performance "

about us

/

contact

/

Ergo-Log

21.07.2018


Worn knee joint? Drink two cups of mint tea a day

Worn knee joint? Drink two cups of mint tea a day
Mint tea reduces pain and stiffness in worn knee joints. Canadian researchers, associated with the University of Guelph, discovered this. The researchers used a special mint variant, which contains an unusual high amount of rosmarinic acid.

Study
The researchers experimented with 46 subjects - average age: 61 years - with a worn and painful knee. During 16 weeks they let the participants drink 2 cups of mint tea every day. Each cup was made from 3 grams of dried leaves, which had been steeped for 5 minutes in 300 milliliters of hot water.

Half of the subjects were given leaves of regular mint - scientific name: Mentha spicata. The other half received leaves of a special variety, which the researchers call highros A spearmint plant clone 700B. This variant was created by co-author Laima Kott, and also holds the patent for this plant.


Worn knee joint? Drink two cups of mint tea a day



Worn knee joint? Drink two cups of mint tea a day
Mint is a good source of the polyphenol rosmarinic acid [structural formula shown here]. [Pharmacogn Mag. 2012 Jan;8(29):37-41.] About half a percent of the leaves are rosmarinic acid. With the highros A spearmint plant clone 700B that is twenty times more.

The researchers published earlier in vitro research [BMC Complement Altern Med. 2010 May 11;10:19.] and an animal study [J Vet Pharmacol Ther. 2012 Oct;35(5):495-502.] in which extracts of highros A spearmint plant clone 700B reduced cartilage degradation.

Results
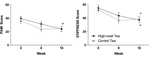
Both the subjects who drank regular mint tea and the subjects who drank the high-rosmarinic acid spearmint tea reported that their joints became less stiff [lower right]. Only the subjects who used high-rosmarinic acid spearmint tea reported a significant reduction in pain in their knee [bottom left].


Worn knee joint? Drink two cups of mint tea a day


Worn knee joint? Drink two cups of mint tea a day



Before and after the supplementation period, the subjects had to try to walk as far as possible for 6 minutes. The subjects who had been given the high-rosmarinic acid spearmint tea completed 22 meters more after the supplement than before.

Although this increase was not statistically significant, the researchers think it says something. "We postulate that, at week 16, the high-rosmarinic acid spearmint tea group was starting to experience improvements in physical function related to their reduced pain," they write.

Conclusion
Worn knee joint? Drink two cups of mint tea a day
"In the current study, compliance to drinking the tea was high, which reflects our participants' willingness to consume spearmint tea as a treatment for osteoarthritis", summarize the researchers.

"This is important, given the lack of effective osteoarthritis treatment options and reliance on pain medications to which adherence rates are low. Failure to adequately manage osteoarthritis pain and symptoms can negatively impact social interactions and quality of life and leads to increased personal, healthcare, and economic costs."

"In this study, individuals with osteoarthritis of the knee who consumed 600mL of high-rosmarinic acid spearmint tea daily for 4 months showed significant improvements in pain scores and physical function. Therefore, adults with knee osteoarthritis may benefit from including high-rosmarinic acid spearmint tea in their daily routine."

"Larger and longer-term studies are required to validate the high-rosmarinic acid tea as a complementary osteoarthritis treatment."

Supplemental addendum
We do not know if the studied high-rosmarinic acid spearmint tea is on the market. We do know that there are supplements that contain approximately the same amount of rosmarinic acid per capsule as there should be in a cup of high-rosmarinic acid spearmint tea.

In a capsule Rosmarinic Acid Extract of Life Extension is 100 milligrams of rosmarinic acid.

Source:
J Med Food. 2014 Dec;17(12):1361-7.

More:
Pycnogenol, the vegetable lubricant for worn joints 03.07.2018
Painful, worn out knees? Turmeric works just as well as ibuprofen (24.04.2017)

Archives:
Mentha spicata
Joint Health


Betalains in beetroot ease painful joints Diet lacking vitamin K1 makes knee joint susceptible to arthritis Strength training and creatine help ease osteoarthritis

Betalains in beetroot ease painful joints
Supplementation with an extract from beetroot - official name Beta vulgaris - reduces joint pain.

Diet lacking vitamin K1 makes knee joint susceptible to arthritis
If you don't consume much vitamin K1 you are much more likely to develop arthritic knees than if you eat spinach, broccoli or other sources of vitamin K1 regularly.

Strength training and creatine help ease osteoarthritis
People whose knees are affected by osteoarthritis react well to strength training, and even more so if they take the bodybuilding supplement creatine as well.