ergo-log.com

Definition: "An ergogenic aid is any substance or phenomenon that enhances performance "

about us

/

contact

/

Ergo-Log

17.01.2013


Ultradrol contains methylstenbolone

Designer supplements specialists Antaeus Labs are not kidding. Their product Ultradrol does indeed contain the anabolic steroid that's listed on the label. Doping hunters at the Brazilian Universidade Federal do Rio de Janeiro published an article in Steroids confirming that they found the obscure 2,17-alpha-dimethyl 17-b-hydroxy 5-alpha-androst-1-en-3-one in Ultradol. You may know the substance as methylstenbolone.

In Ultradrol zit methylstenbolone
Methylstenbolone is the oral analogue of stenbolone. Pharmaceutical companies did research on methylstenbolone in the early 1960s and, reading between the lines of the publications that emerged then, it would seem that the results were encouraging.

The anabolic effect of methylstenbolone exceeded that of methyltestosterone by a factor seven, based on Julius Vida's standard textbook Androgens and Anabolic Agents. According to Vida, the androgenic effect of methylstenbolone and methyl-testosterone are comparable.

Methylstenbolone didn't make it to the market. Until recently that is, when Antaeus Labs introduced it.

It's often still dubious whether designer supplements actually contain the substances mentioned on the label, but the Brazilian chemist Gustavo de Albuquerque Cavalcanti did indeed detect methylstenbolone in Antaeus' Ultradrol.

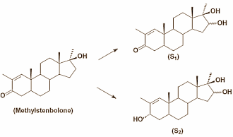
Little is known about the pharmacokinetics of methylstenbolone so the researchers gave male volunteers a capsule of Ultradrol. This enabled them to work out that methylstenbolone [structural formula below left] changes in the body into its two main metabolites S1 and S2 [structural formulas below right].


Ultradrol contains methylstenbolone


Ultradrol contains methylstenbolone


The figure above shows how the urinary concentration of methylstenbolone [squares, right-hand Y axis] and that of S1 [triangles] and S2 [circles] [left-hand Y axis] fluctuates after being ingested by a test subject. The researchers detected traces of the S1 and S2 metabolites up to a week after intake. That's a long time for an oral drug, especially if you consider that one capsule of Ultradrol only contains 4 mg methylstenbolone. Developing a doping test for this steroid will be simple, the Brazilians conclude contentedly.

Although Ultradrol is still available through webstores, Ultradrol is absent on the Antaeus website. Looks like Antaeus has stopped producing it.

Source:
Steroids. 2012 Nov 29;78(2):228-233.

More:
What Syntrax Tetrabol really contained 23.08.2012
Jungle Warfare contained delta-6-methyltestosterone 06.11.2011
This is what 1-Androsterone contains 03.03.2011