ergo-log.com

Definition: "An ergogenic aid is any substance or phenomenon that enhances performance "

about us

/

contact

/

Ergo-Log

20.02.2018


Why supplementation with sterols is still interesting for athletes

The chemical structure of sterols is similar to that of testosterone. That's why some companies claim sterols imitate the effect of testosterone and accelerate muscle growth. That's not the case, of course. However, a human study recently published by Chinese scientists in the Journal of Food Science suggests that supplements with sterols might be interesting for athletes. But then in a completely different way...

Sterols
Nuts, avocado, brown rice, beans, vegetable oil and a lot of other plant based foods contain sterols. As a result, we consume around 200-300 milligrams of sterols every day. If you are a vegetarian or vegan, that can amount to 600-800 milligrams per day. Because sterols inhibit the absorption of cholesterol from the diet, the food industry uses sterols in cholesterol-lowering functional foods.


Why supplementation with sterols is still interesting for athletes


Study

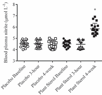
The researchers experimented with a mixture of sterols that consisted of 55 percent beta-sitosterol, 29 percent from campesterol and 23 percent from stigmasterol.

They gave 2 grams of that mixture, added to soymilk, for 4 weeks to 18 healthy subjects.

Results
At the end of the supplementation period, in the subject's blood the concentration of nitrate and nitrite was increased. Nitrate and nitrite are precursors of nitric oxide [NO]. If you want to know what NO does for fun things, you can check our archives.


Why supplementation with sterols is still interesting for athletes
Why supplementation with sterols is still interesting for athletes


Mechanism
In test tubes, the researchers exposed human immune cells, which normally circulate in the bloodstream, to sterols. They saw that the sterols caused the cells to produce more nitrate and nitrite. Especially campesterol proved to be an effective nitrate booster.


Why supplementation with sterols is still interesting for athletes

Why supplementation with sterols is still interesting for athletes


Conclusion
"Dietary plant sterols supplementation in the presence of a food matrix may upregulate the vascular NO production", the researchers concluded.

After reading this publication we, not inhibited by noteworthy knowledge, can not resist the urge to make some bold speculations which would make scientists feel embarrassed.

Like: could it be that supplementation with sterols - especially campesterol - makes the blood vessels more supple? And: would athletes benefit more from arginine or citrulline if they stack those substances with sterols? And: could sterols make the immune system more aggressive?

More coming soon.

Source:
J Food Sci. 2017 Jul;82(7):1750-6.

More:
Spinach and rucola work just as well as beetroot for athletes 15.07.2016
Bodybuilders manage twenty percent more reps with beetroot juice 08.06.2016
Citrulline makes cyclists 1.5 percent faster 09.05.2016

Archives:
NO Boosters


Weight lifters train better and recover faster with a litre and a half of pomegranate juice daily Athletes who use antibacterial mouthwash won't get anything from beetroot Performance-enhancing effect of nitrates still present 24 hours after intake

Weight lifters train better and recover faster with a litre and a half of pomegranate juice daily
The polyphenols and nitrates in fresh pomegranate juice make it an interesting supplement for weightlifters - and probably for other strength athletes too.

Athletes who use antibacterial mouthwash won't get anything from beetroot
Products like Listerine and Corsodyl contain substances such as benzoic acid, benzoate or chlorhexidine, which reduce the bacteria population in your mouth.

Performance-enhancing effect of nitrates still present 24 hours after intake
After oral intake, the concentrations of nitrate, nitrite and nitrogen monoxide in the blood are at an optimal level after 2-3 hours. But that doesn't mean that the nitrates have no effect after that...