ergo-log.com

Definition: "An ergogenic aid is any substance or phenomenon that enhances performance "

about us

/

contact

/

Ergo-Log

07.08.2017


Stress and fatigue reduce testosterone just as much as age does

Age is an important factor that determines the amount of testosterone circulating in men's bodies, but it's not the only one. American army researchers discovered that stress and fatigue may be just as important factors. It could be the case that men's testosterone levels rise if they reduce their stress levels and make sure they are well rested.

Study
Researchers at the Naval Health Research Center in San Diego measured the testosterone levels of 57 men in an elite unit. They recorded the men's BMI, sleep, stress, fatigue and blood pressure using questionnaires and basic measurements.


Stress and fatigue reduce testosterone just as much as age does


Results
Age was an important predictor of testosterone levels, which were highest in the soldiers aged 28-31. After that their testosterone levels plummeted.


Stress and fatigue reduce testosterone just as much as age does


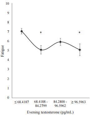
The fatigue that the soldiers reported also played a role. The higher the soldiers scored their tiredness, the lower their testosterone level.


Stress and fatigue reduce testosterone just as much as age does


The same was true for stress. The more stress the men experienced, the lower their testosterone level.

High scores for stress and fatigue had a similar correlation with low testosterone levels as age did. This study revealed that BMI and sleep did not play a significant role.

The figure below shows the correlation between testosterone, stress, fatigue, age, BMI and sleep. The closer a correlation is to 1 or -1, the stronger the relationship.


Stress and fatigue reduce testosterone just as much as age does


Conclusion
More stress and more fatigue go together with less testosterone. The researchers suspect that in the first instance stress reduces the testosterone level, and that fatigue is then a result of the lower testosterone level. But they don't know for sure. It may be the case that fatigue also lowers testosterone levels.

Source:
Steroids. 2017 May 21;124:18-22.

More:
Lifestyle improvements boost testosterone level in over fifties 01.01.2016
High glucose levels reduce testosterone production 14.03.2014
More sleep can double your testosterone level 16.02.2013

Archives:
Boosting Testosterone


Overweight halves teenagers' testosterone levels Oleuropein boosts testosterone level, lowers cortisol secretion, stimulates anabolism< On a diet? Capsaicin keeps your testosterone level up

Overweight halves teenagers' testosterone levels
If you're carrying around more kilos of fat than is good for you, you also have less testosterone circulating in your blood than Mother Nature intended.

Oleuropein boosts testosterone level, lowers cortisol secretion, stimulates anabolism
In this study rats that had a protein-rich diet retained no less than 46 percent more protein when large amounts of oleuropein were added to their food. In addition, they produced more testosterone and less cortisol.

On a diet? Capsaicin keeps your testosterone level up
A low-calorie diet drives testosterone production down, a real nuisance for natural athletes who not only want to decimate their fat reserves but also maintain their lean body mass.