ergo-log.com

Definition: "An ergogenic aid is any substance or phenomenon that enhances performance "

about us

/

contact

/

Ergo-Log

06.03.2011


Strength training stiffens arteries

Strength training stiffens arteries
While cardiologists are becoming more and more convinced of the benefits of gentle weight training for heart patients, sports scientists are becoming more concerned about the negative cardiovascular effects of heavy weight training on healthy athletes. Studies have shown that the arteries become stiffer as a result of strength training.

Arteries
Healthy arteries are supple. After a contraction of the heart, a wave of blood is pushed through the arteries, which widen to accommodate this. This reduces the resistance against which the heart muscle has to work to pump the blood around the body, making it easier for oxygen, fuel and building materials to reach their destination.

If the blood vessels lose their elasticity, the heart muscle has to contract more forcefully. Blood pressure rises, as does the risk of a stroke or heart attack.

As you age your blood vessels become less elastic. When the Japanese sports scientist Motohiko Miyachi studied the effect of age on the elasticity of the blood vessels in large groups of people, he discovered one group in which the ageing process progressed more quickly: strength athletes. [Hypertension. 2003 Jan; 41(1): 130-5.] Young athletes had slightly stiffer arteries than non-athletes, but in the middle-aged groups the difference was bigger.


Strength training stiffens arteries


Study
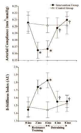
Now not every epidemiological relationship is a real relationship. So Miyachi set up an experiment. He got 28 men aged between 20 and 38 to do weight training for 4 months, and then do nothing for 6 months. He studied the health of the men's arteries during the entire period. [Circulation. 2004 Nov 2; 110(18): 2858-63.] The figures below show what happened to the elasticity of the blood vessels [arterial compliance] and their stiffness [beta-stiffness-index].


Strength training stiffens arteries


Strength training stiffens arteries


Results
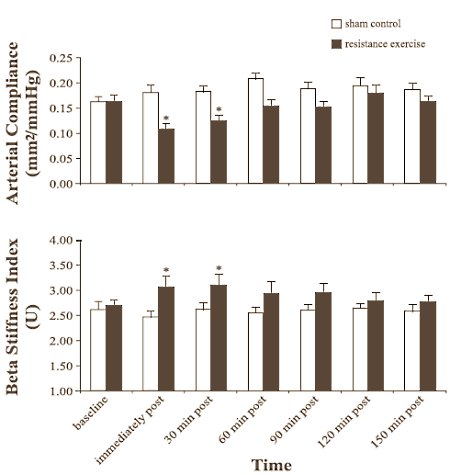
When other researchers followed Miyachi and started studying the effects of strength training on the elasticity of the arteries, they discovered that strength-training effects kick in very soon after a workout. The figure above shows the results of a recent Korean study of 13 men aged between 20 and 29. [Korean Circ J. 2010 Jan; 40(1): 16-22.] The Koreans discovered that just 20 minutes after one single training session the elasticity of the arteries declined – but also that it returned to normal again after 40 minutes.

More studies
An American study, on young men and women, came to the same conclusion. [J Appl Physiol. 2005 Jun; 98(6): 2287-91.] In this study a weight training session led to a stiffening of the arteries, but the effect was only statistically significant immediately after the workout.


Strength training stiffens arteries


Conclusion
Blood pressure rises considerably during a strength training session. Reduced elasticity of the blood vessels immediately after a workout would seem to be the consequence. Although post-workout artery stiffening is only temporary, Miyachi’s studies suggest that an accumulation of post-workout artery stiffening may have a negative long-term effect.

Opinions among researchers are divided as to whether this is indeed the case. No doubt a metastudy will be published in a few years concluding that things are not as bad as they seem. But to be on the safe side we'll assume that the effect is serious. We've trawled the literature for ways to make your strength workout more artery friendly – and we've come up with three. More about these tomorrow.

Source:
Hypertension. 2003 Jan; 41(1): 130-5.