ergo-log.com

Definition: "An ergogenic aid is any substance or phenomenon that enhances performance "

about us

/

contact

/

Ergo-Log

17.09.2010


No advantage to slow eccentric movement in strength training: study

Fitness instructors who themselves are not so muscular sometimes advise serious strength athletes to train using lighter weights. Their story is that heavy weights are not so effective. Training with lighter weights, over which you have more control on the eccentric movement, will give you more progression, they say. Not so, says a study recently published in the Journal of Strength and Conditioning Research.

American researchers did an experiment with male strength athletes who had been doing weight training for at least 2 years. First the researchers determined the men's 1RM for the bench press.

On one occasion the subjects had to lift the weights in a 2/0/2 tempo. They lifted the weight away from their chest in 2 seconds and without pausing lowered it again to their chest, also taking 2 seconds.

On the other occasion they used a 2/0/4 tempo. This time the lowering [eccentric] movement took 4 seconds.

The slower movement reduced the 1RM by 3 percent, but made the exercise more tiring. The table below shows the RPE, ratings of perceived exertion. The higher the RPE, the more tired the subjects felt.


No advantage to slow eccentric movement in strength training: study


On another occasion the subjects did more bench press sets: first a set of 4 reps with weights at 55 percent of their 1RM, then a set of 5 reps at 60 percent of their 1RM, followed by a set of 6 reps at 65 percent of their 1RM and finally a set of as many reps as they could manage at 75 percent of their 1RM. Between sets they rested for one minute.

The 1RM was adjusted to the tempo at which the test subjects performed their movements. When the subjects used the 2/0/4 timing they did less reps in their fourth set. Because of this and also because they used lighter weights in the 2/0/4 session, the subjects exerted themselves less during the 2/0/4 session and expended less energy.


No advantage to slow eccentric movement in strength training: study

No advantage to slow eccentric movement in strength training: study


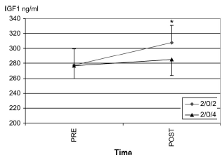
Although the subjects experienced the 2/0/4 training as more tiring, the researchers found nothing in the subjects' blood that indicated that the 2/0/4 training was more effective. They measured the cortisol, testosterone, lactic acid, creatine kinase and IGF-1 levels.

The IGF-1 level was the only one that reacted differently to the 2/0/4 training than the 2/0/2 training. It hardly rose at all after the 2/0/4 training session, as you can see above.

"Using a 2/0/2 or 2/0/4 lifting tempo at the same relative intensity in a single exercise protocol leads to few differences in hormonal, metabolic, and perceptual responses", the researchers conclude.

If you can train with heavy weights, it's advisable to do so. There’s no point consciously doing the movements more slowly with lighter weights. Slower reps with longer eccentric movements are worthwhile, however, if you are unable to train with heavy weights, for example due to injury or if there are no heavy weights available.

Source:
J Strength Cond Res. 2010 Mar 25. [Epub ahead of print].