ergo-log.com

Definition: "An ergogenic aid is any substance or phenomenon that enhances performance "

about us

/

contact

/

Ergo-Log

19.11.2010


Resveratrol versus the spare winter tyre

Resveratrol versus the spare winter tyre
Most people put on weight in the winter. Maybe it's because their metabolism slows down, maybe because they get less exercise. A French study, done on animals with the same problem, suggests that a resveratrol supplement may help.

The grey mouse lemur puts on weight easily in the winter. Because there are many studies on resveratrol as an obesity inhibitor, researchers at the Museum National d'Histoire Naturelle in Paris decided to study whether resveratrol protected these animals against putting on weight.

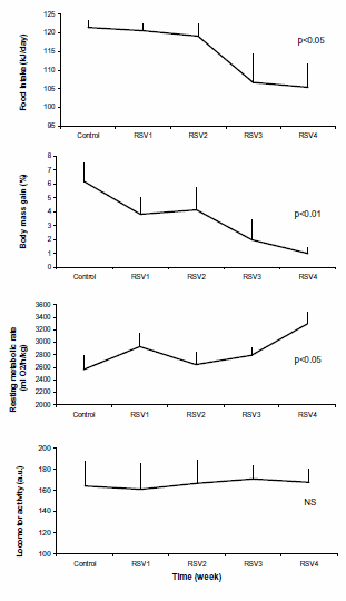
The researchers gave 6 grey mouse lemurs 200 mg resveratrol per kg bodyweight daily for 4 weeks. The experiment took place in the winter, so the animals had already started to put on weight. In the week before the resveratrol administration started the lemurs had become 6.2 percent heavier.

The further the experiment progressed, the higher the resting energy expenditure became and the less food the animals ate. At the end of the 4 weeks the rate at which the grey mouse lemurs got fatter had decreased to 1 percent.


Resveratrol versus the spare winter tyre


Lemurs are nocturnal; they go to sleep as the sun rises and wake up again around four in the afternoon. The researchers discovered that the resveratrol was effective during the rest period. The compound led to a rise in body temperature as the lemurs slept.


Resveratrol versus the spare winter tyre


The longer the supplementation lasted, the stronger the effect it had on body temperature.

This effect may also explain a side effect of resveratrol that heavy users sometimes complain of. They sleep less well. It takes them longer to fall asleep, they sleep more lightly and wake up earlier – although they do not feel well rested. This may well be the case, because one of the preconditions for a good night's sleep is that your metabolism slows down. The users can at least console themselves with the thought that their sleepless nights probably mean that resveratrol works.

Source:
BMC Physiol. 2010 Jun 22; 10: 11.

More:
Resveratrol and quercetin cocktail kills fat cells 02.09.2009