ergo-log.com

Definition: "An ergogenic aid is any substance or phenomenon that enhances performance "

about us

/

contact

/

Ergo-Log

13.06.2014


Resisted sprints make athletes faster and more agile

Resisted sprints make athletes faster and more agile
If you want to become faster and more agile it's worth adding resisted sprints to your training: 20 to 40 metre sprints that are made more difficult by pulling a weighted sled behind you. The amount of weight on the sled determines the aspect of acceleration capacity that you train, write sports scientists at Pablo de Olavide University in Spain in an article that will soon appear in the Journal of Strength and Conditioning Research.

Trainers of athletes that do team sports and martial arts have been using resisted sprint training for decades to improve their athletes' acceleration capacity. Reading the literature you'll learn that the method is most useful for increasing athletes' speed in the first 20 metres of a sprint.

The researchers at Pablo de Olavide University wondered whether it made any difference the amount of weight there was on the sled so they did an experiment with 19 male student subjects. All subjects trained twice a week with a weighted sled for a period of seven weeks. They did 4-8 sprints, with distances varying from 20 to 35 metres. The students rested for 3-4 minutes between sprints.

The researchers divided the students into three groups. The first group trained with a sled that had been weighted with 5 percent of the subjects' bodyweight [LL], the second group trained with 12.5 percent of their bodyweight [ML] and the third group with 20 percent of their bodyweight [HL].

Before and after the training period the researchers timed how fast the students could run 40 metres. They discovered that for the whole distance of 40 metres it made no difference which weight the students had trained with.


Resisted sprints make athletes faster and more agile


But when they looked at the effect of the training on the first 20 metres, they noticed that only the subjects that had trained with the heaviest weight had become faster.


Resisted sprints make athletes faster and more agile


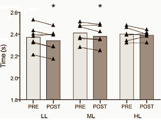
When the researchers looked at the effect on the last 20 metres, only the subjects who had trained with 5 and 12.5 percent of their bodyweight showed better times.


Resisted sprints make athletes faster and more agile


"The results of our study would suggest that in order to improve the acceleration phase over short distances it is advisable to train with different towed loads", the researchers summarise.

"To improve the initial acceleration phase up to 30 meter, it would be advisable to train with loads about 20 percent of body mass. However, to improve the flying phases within 40 meter, loads between 5 percent and 12.5 percent should be used."

Source:
J Strength Cond Res. 2014 Apr 14. [Epub ahead of print].

More:
Sleep more, sprint faster 01.06.2014
Q10 supplementation makes explosive movements a little faster 20.06.2013
Sprint faster with betaine 13.12.2012