ergo-log.com

Definition: "An ergogenic aid is any substance or phenomenon that enhances performance "

about us

/

contact

/

Ergo-Log

02.09.2009


Resveratrol and quercetin cocktail kills fat cells

A mix of two food components may have a double slimming effect in the body. According to a test tube study done at the University of Georgia, a mix of quercetin and resveratrol [structure of both compounds below] stops growing fat cells from taking up more fats. And the mix kills fully-grown fat cells too.

Quercetin

Resveratrol
We've written before about the anti-obesity characteristics of quercetin. This substance, which is occurs naturally in green tea, red wine, apples and onions, squeezes the fat out of fat cells and has a modestly stimulatory effect on the metabolism. Resveratrol has fairly similar effects: it also inhibits the uptake of fat by fat cells. Resveratrol causes cells to produce more energy stimulating mitochondria, thus boosting energy burning.

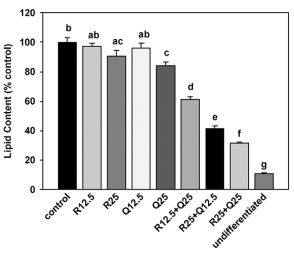
The researchers wanted to know what effect a combination of resveratrol and quercetin would have. So they put young fat cells in a test tube and added increasing concentrations of quercetin [Q] and resveratrol [R]. The figure shows what effect the substances had on the amount of fatty acids stored by the fat cells. The figures refer to concentrations in micromoles.


Resveratrol and quercetin cocktail kills fat cells


The substances blocked the PPAR-gamma protein. This is a sensor that tells fat cells that fatty acids are nearby.

The researchers repeated the experiment with adult fat cells and looked at their viability. The substances killed the cells.


Resveratrol and quercetin cocktail kills fat cells


The mixture caused the cells to commit suicide – at least the researchers found the classic markers for cellular suicide: more cytochrome C and more loose strands of DNA. Cytochrome C belongs in the mitochondria. If you find it in the cell fluid then there’s something wrong in the cell.

It’s not quite clear from reading the article what the researchers’ (who are veterinary scientists) aim was with the research. "These findings provide suggest that resveratrol and quercetin, especially in combination, may have a potential to be used for regulating the adipocyte life cycle."

Source:
Life Sci. 2008 May 7;82(19-20):1032-9.

More:
Course of quercetin raises metabolism 18.08.2009