ergo-log.com

Definition: "An ergogenic aid is any substance or phenomenon that enhances performance "

about us

/

contact

/

Ergo-Log

19.04.2013


Quarter of American students use Adderall and Vyvanse during exams

Quarter of American students use Adderall and Vyvanse during exams
At American universities a quarter of the students use some form of doping. Not to build muscle or increase their speed, not to lose weight, but to improve their grades. Drugs like Vyvanse and Adderall are especially popular. Chemists at the University of Puget Sound discovered this when they measured the concentrations of amphetamines and Ritalin metabolites in the wastewater on campus.

There are regular reports in the American media about healthy students using ADD and ADHD medicines for purposes other than intended. [newyorker.com April 27, 2009] These medicines are derivatives of amphetamin. They help people with concentration disorders, but according to surveys, healthy students are using them increasingly. [Addiction. 2005 Jan; 100(1): 96-106.] They are using them as a kind of smart drug to help with revising for exams.

Quarter of American students use Adderall and Vyvanse during exams
Quarter of American students use Adderall and Vyvanse during exams
Commonly used products are Vyvanse and Adderall. The active ingredient in Vyvanse is lisdexamphetamine. This compound [structural formula above] is created by attaching lysine to an amphetamine. Adderall is a cocktail of four amphetamine salts: racemic amphetamine aspartate, racemic amphetamine sulphate, dextroamphetamine saccharide and dextroamphetamine sulphate.


Quarter of American students use Adderall and Vyvanse during exams


Quarter of American students use Adderall and Vyvanse during exams
Another amphetamine-based ADHD medicine is Ritalin, which contains methylphenidate [structural formula shown here]. It also goes by the name of Concerta. Students using methylphenidate as a smart drug has been in the news recently, but according to recent American studies illicit use of methylphenidate is on the decrease. [Addiction. 2012 Mar;107(3):467-77.]

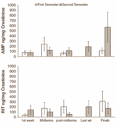
If the media reports and scientific articles are correct, then it's pretty likely that you'd be able to detect substances in the waste water of a university campus, the chemists at the University of Puget Sound reasoned. You'd expect the concentration of amphetamines and methylphenidate metabolites in the wastewater to peak during exams halfway through the semester [Midterms], towards the end of the season, just before finals [Last wk] and of course during the exam at the end of the year [Finals].

The figure below shows that there was no clear rise in the concentration of methylphenidate metabolites [RIT]. That was not unexpected. But there was a sharp rise in the amphetamine concentration in the wastewater [AMP] during the Midterms, the last week of college and the Finals.


Quarter of American students use Adderall and Vyvanse during exams


During periods when the students were generally not under stress, only a few percent of the campus population used Vyvanse or Adderall. And those were probably students using the medicines for medical reasons. During exam periods use rose by a factor 8, when about a quarter of the students were using Vyvanse or Adderall, the researchers estimate.

Source:
Sci Total Environ. 2013 Apr 15;450-451:242-9.

More:
Gyms' sewers overflowing with steroids 02.09.2010